小编这次收集整理的是北京市石景山区2019-2020高三年级第一学期期末考试数学的答案,在做完之后可以来答案圈了解一下,看看自己做的对不对!

答案如下,仅供参考,不要直接照抄哦。






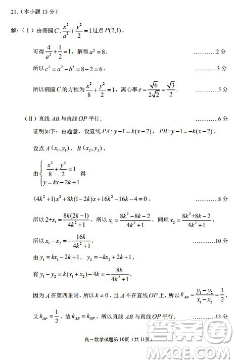
北京市丰台区2019-2020高三年级第一学期期末考试数学答案
2020-01-13 10:50:33
小编这次收集整理的是北京市丰台区2019-2020高三年级第一学期期末考试数学的答案,在做完之后可以来答案圈检查核对一下,看看自己期末可以得多少分呢?北京市丰台区2019-2020高三
北京市丰台区2019-2020高三年级第一学期期末考试语文答案
2020-01-13 10:37:01
小编这次收集整理的是北京市丰台区2019-2020高三年级第一学期期末考试语文的答案,在做完之后可以来答案圈核对,解析也是非常详细的,可以看一下主要考的知识点和考试方向!北京市
北京市西城区2019-2020高三年级第一学期期末考试语文答案
2020-01-13 10:25:22
小编这次收集整理的是北京市西城区2019-2020高三年级第一学期期末考试语文的答案,做完了的可以来答案圈了解一下啊,看看自己做的对不对,其他学科的也有收集整理,快来一起了解一
北京市西城区2019-2020高三年级第一学期期末考试数学答案
2020-01-13 10:11:35
小编这次收集整理整理的是北京市西城区2019-2020高三年级第一学期期末考试数学的答案,北京市各个城区的期末考试答案小编都在收集整理,快来看看吧!北京市西城区2019-2020高三年