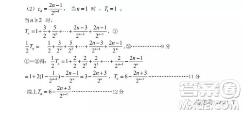
辽宁省实验中学2018-2019学年度上学期期末考试高三数学文科试卷的答案如下,在做完之后可以来答案圈核对一下,看看自己的答案是否正确!

辽宁省实验中学上学期期末考试数学答案如下,其他地区的期末答案可以直接搜区名或者校名。













最后一题的作用往往是尽量防止满分,如果你真心想要攻破,首先你留给这道题的解题时间最少十五分钟!其次,最后一道题的思维仍然没有脱离你所学的,所以关键你要从每次考卷中去发现探索思维的瓶颈在哪个地方是自己想不到的!最后就是心态,不要死磕,尝试换个角度试试!
重视审题
你的心态就是珍惜题目中给你的条件。数学题目中的条件都是不多也不少的,一道给出的题目,不会有用不到的条件,而另一方面,你要相信给出的条件一定是可以做到正确答案的。所以,解题时,一切都必须从题目条件出发,只有这样,一切才都有可能。
2018-2019镇江高三上学期期末英语考试答案
2019-01-20 09:59:52
镇江2018-2019学年度高三第一学期期末考试英语的答案小编已经收集整理好了,在做完之后可以来答案圈核对一下,看看自己的答案是否正确!2018-2019镇江高三上学期期末英语考试答案
苏州市2018-2019学年第一学期学业质量阳光指标高三调研卷数学答案
2019-01-20 09:35:48
小编这次收集整理的是宿州市的期末考试高三数学的答案,在做完之后可以来答案圈核对一下,看看自己的答案是否正确!苏州市2018-2019学年第一学期学业质量阳光指标高三调研卷数学
北京市西城区2018-2019学年度第一学期期末高三数学理科考试答案
2019-01-20 09:16:17
北京市西城区高三上学期期末考试数学理科的答案小编已经收集整理好了,在做完之后可以来答案圈核对一下,看看自己的答案是否正确!北京市西城区2018-2019学年度第一学期期末高三
清远市2018-2019学年度第一学期期末教学质量检测高三理综试题及答案解析
2019-01-19 10:49:29
小编收集了清远市2018-2019学年度第一学期期末教学质量检测高三理综试题及答案解析,有需要的学生请及时做好答案的核对与检测哦清远市2018-2019学年度第一学期期末教学质量检