小编这次收集整理的是宿州市的期末考试高三数学的答案,在做完之后可以来答案圈核对一下,看看自己的答案是否正确!

答案如下,现在很多地区都在进行期末考试,如果想查看自己地区的期末考试答案的话,可以直接搜地名即可搜到了,还是非常方便的!
























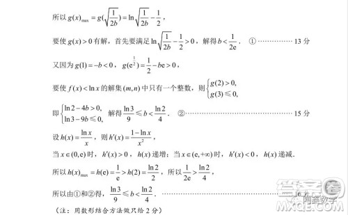
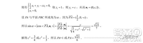
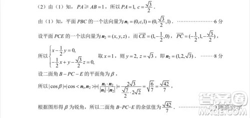
同学们都应该知道,历年的高考数学最后一道题都是压轴题,都是很难的,同学们要想在数学这一科目中有所差距,最后一题真的是很关键的,所以同学们是一定要尽量把数学的最后一题做好才可以。
但是很多同学都觉得最后一题很难,差不多只有学霸才可以做出来,其实真的不是这样的,老实说,数学最后一题差不多有3个小问题,老师觉得一大半同学都是可以做1小题的,一半的同学都是可以做奥2小题的,最后一个小问由于知识点涉及很广,可能只有一小半的孩子可以回答上,但是也是可以回答的。
做最后一题的关键有几点:第一,就是要审题,千万不要看到一半就开始做题,或者不仔细审题,马虎,这都是做题的失分之处;第二,就是要从图形中找解题的方法,最后一题大多是几何题,要是读题目没有思路的时候,可以试着从图形中找答案,根据题目条件把能做出来都做出来,能推导出来都推导出来,从而得到更多条件,然后再根据新条件再去找结论,这样慢慢这道题就有解决的办法了。总之,只要你基础知识扎实,心细,心态好,善于发现,没有解决不了的难题。
北京市西城区2018-2019学年度第一学期期末高三数学理科考试答案
2019-01-20 09:16:17
北京市西城区高三上学期期末考试数学理科的答案小编已经收集整理好了,在做完之后可以来答案圈核对一下,看看自己的答案是否正确!北京市西城区2018-2019学年度第一学期期末高三
清远市2018-2019学年度第一学期期末教学质量检测高三理综试题及答案解析
2019-01-19 10:49:29
小编收集了清远市2018-2019学年度第一学期期末教学质量检测高三理综试题及答案解析,有需要的学生请及时做好答案的核对与检测哦清远市2018-2019学年度第一学期期末教学质量检
清远市2018-2019学年度第一学期期末教学质量检测高三文综试题及答案解析
2019-01-19 10:41:55
小编收集了清远市2018-2019学年度第一学期期末教学质量检测高三文综试题及答案解析,需要的学生请及时核对吧清远市2018-2019学年度第一学期期末教学质量检测高三文综试题及答
清远市2018-2019学年度第一学期期末教学质量检测高三英语试题及答案解析
2019-01-19 10:34:36
清远市2018-2019学年度第一学期期末教学质量检测高三英语试题及答案解析收集在答案圈啦,快及时核对吧清远市2018-2019学年度第一学期期末教学质量检测高三英语试题及答案解析