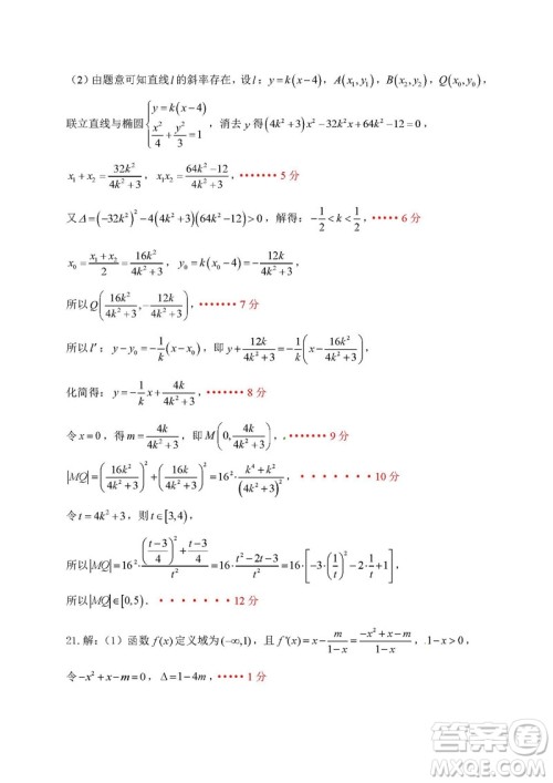
小编这次收集整理的是广东省深圳市的深圳高级中学的高三12月月考的理科数学答案,在做完之后可以来答案圈核对一下,看看自己的答案是否正确!

广东深圳高级中学高三12月月考的理科数学的答案小编已经收集整理好了,做完了的可以来看看哦!









高中数学好不一定选择数学专业,大学数学毕竟跟高中数学不是一回事。可以让孩子了解一下大学数学专业的学习内容,了解数学史以及数学发展到现在的整体情况,如果孩子感兴趣就选择数学专业。
建议选财经,理工,数学好,理化应该也不错,全力刷题拼搏奋斗是主题,爱好兴趣是选择的关键,先稳定情绪,审时度事,高考后根据成绩再决定。
金融,经济,医学,理工科均可。其实只要是数学好,学什么专业都可以的。
2019届广东深圳高级中学高三12月考文科数学答案
2019-01-07 15:50:55
小编这次收集整理的是广东省深圳市的深圳高级中学的高三12月月考的文科数学答案,在做完之后可以来答案圈核对一下,看看自己的答案是否正确!2019届广东深圳高级中学高三12月考文
2019届广元一诊高三语文英语及参考答案
2019-01-07 09:49:06
2019届广元一诊高三语文英语及参考答案,小编收集的还是很详细的,感兴趣的小伙伴快看看吧2019届广元一诊高三语文英语及参考答案四川省广元市高中2016级毕业班第一次高考适应性
四川省广元市高中2016级毕业班第一次高考适应性考试文综试题及答案
2019-01-07 09:13:28
四川省广元市高中2016级毕业班第一次高考适应性考试文综试题及答案,小编收集在答案圈啦,请核对吧四川省广元市高中2016级毕业班第一次高考适应性考试文综试题及答案2019届广元
2019届广元一诊高三语文试题及参考答案
2019-01-07 08:59:54
2019届广元一诊高三语文试题及参考答案,小编收集了,快核对吧2019届广元一诊高三语文试题及参考答案四川省广元市高中2016级毕业班第一次高考适应性考试语文试题及答案解析全部