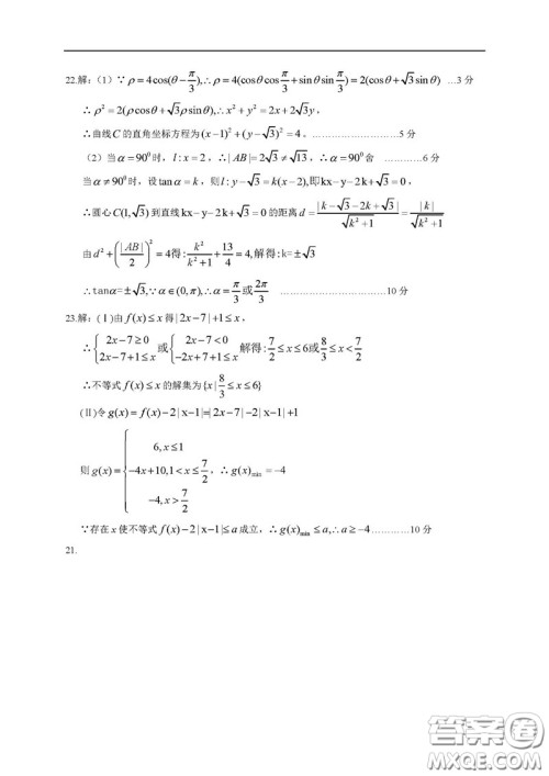
小编这次收集整理的是广东省深圳市的深圳高级中学的高三12月月考的文科数学答案,在做完之后可以来答案圈核对一下,看看自己的答案是否正确!

广东深圳高级中学高三12月月考的文科数学的答案小编已经收集整理好了,做完了的可以来看看哦!




数学是基础学科,用途广泛。目前大学的数学专业的学生深造研究生后,就业都比较好。就业行业看考研方向了。数学考研范围很广泛,属于宽基础学科,各行各业都有用。一般顶尖大学的大多本科数学读硕士后从事金融,计算机,证券,高校,研究机构等等,就业和待遇都不错。
如果本科毕业就要就业的话,就选一个自己喜欢的和职业相关的专业。如果还想考研,就选数学专业。有数学背景的学生,在考研时有更多的专业选择,包括金融、财会都是可以选择的。特别是留学读研,国外的大学更青睐有数学背景的学生。
2019届广元一诊高三语文英语及参考答案
2019-01-07 09:49:06
2019届广元一诊高三语文英语及参考答案,小编收集的还是很详细的,感兴趣的小伙伴快看看吧2019届广元一诊高三语文英语及参考答案四川省广元市高中2016级毕业班第一次高考适应性
四川省广元市高中2016级毕业班第一次高考适应性考试文综试题及答案
2019-01-07 09:13:28
四川省广元市高中2016级毕业班第一次高考适应性考试文综试题及答案,小编收集在答案圈啦,请核对吧四川省广元市高中2016级毕业班第一次高考适应性考试文综试题及答案2019届广元
2019届广元一诊高三语文试题及参考答案
2019-01-07 08:59:54
2019届广元一诊高三语文试题及参考答案,小编收集了,快核对吧2019届广元一诊高三语文试题及参考答案四川省广元市高中2016级毕业班第一次高考适应性考试语文试题及答案解析全部
山西省晋中市平遥县第二中学2018-2019学年高一12月月考语文试题及答案
2019-01-07 08:34:05
山西省晋中市平遥县第二中学2018-2019学年高一12月月考语文试题及答案,小编收集在答案圈啦,快来核对吧山西省晋中市平遥县第二中学2018-2019学年高一12月月考语文试题及答案一