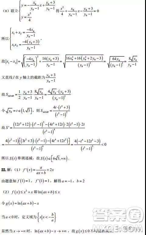
2019年杭十四中高三4月月考数学试题答案,已经整理了,需要的学生快来看看吧

2019年杭十四中高三4月月考数学试题答案,答案已经收集了,需要的学生请关注答案圈哦









首先,学会适当减压。高三的生活很忙碌,也很辛苦。读过高三的同学都知道,每天刷题,讲题,刷题,讲题。这样周而复始,整个高三一年都是这样的状态,也很枯燥,但是没有办法。整个高三时间,总有那么一段时间想放弃,想要出去放飞自我。可是,总是有来自外部各界的声音在督促这你。因此你自己也没办法,不能松懈。
其次,注意合理饮食。大家学习任务比较繁重,对食物的摄入量也比较大。其实,饮食规律出现紊乱也会影响我们的心情。饮食规律出现问题,吃饭吃不到点上,不仅对我们的身体有害,也会影响我们的心情。比如,有些同学心情不好的时候就会疯狂的吃零食,觉得吃了零食之后,心情就会好很多。同样,饮食不规律,吃得不健康也会影响我们的心情。因此,注意合理饮食也很重要。
最后,控制好自己的心情。有些同学在高三这一段时间,觉得压力特别大,总是很容易发脾气,给身边的同学发脾气,给父母发脾气,这都是要不得的。要学会转移自己的小情绪,觉得自己可能会爆发脾气,那就找一个没有人的空旷地方哭一顿,或者嚎两嗓子,菜鸟觉得这都是可以的。但不要把自己的小情绪带给身边的人。
2019年炎德大联考湖南师大附中高三月考试卷七文理综试题及答案
2019-04-28 16:21:29
小编收集了2019年炎德大联考湖南师大附中高三月考试卷七文理综试题及答案需要答案的学生请及时核对吧2019年炎德大联考湖南师大附中高三月考试卷七文综试题及答案2019年炎德
2019年炎德大联考湖南师大附中高三月考试卷七文理数试题及答案
2019-04-28 16:08:01
小编收集了2019年炎德大联考湖南师大附中高三月考试卷七文理数试题及答案,需要即可核对哦2019年炎德大联考湖南师大附中高三月考试卷七文数试题及答案2019年炎德大联考湖南师
2019年炎德大联考湖南师大附中高三月考试卷七英语试题及答案
2019-04-28 15:52:29
小编收集了2019年炎德大联考湖南师大附中高三月考试卷七英语试题及答案,需要答案的学生可以及时核对起来了2019年炎德大联考湖南师大附中高三月考试卷七英语试题及答案
2019年炎德大联考湖南师大附中高三月考试卷七语文试题及答案
2019-04-28 15:37:13
小编收集了2019年炎德大联考湖南师大附中高三月考试卷七语文试题及答案,需要即可查看哦2019年炎德大联考湖南师大附中高三月考试卷七语文试题及答案2019年炎德大联考湖南师大