湖北四地七校的考试还是很不错的,在做完之后可以来看看答案哦!

下面是试卷和答案,是由龙泉中学命题额。










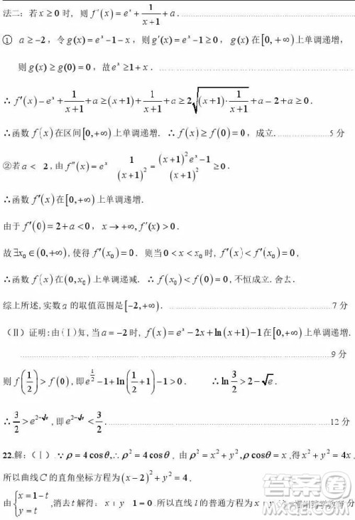
数学理科的难度会比文科大一些,上面试卷和答案还是很详细的。
理科文科数学差别不是太大,首先要重点关注文理科数学高考的区别,北京的区别是文科考的理科必考,理科考的文科未必看考,就是说理科考的内容比文科的多一些,同时即使文理科都考的部分,侧重点也有所不同,不知道你是哪个省的,要尽快把这一点搞清楚,同时,高三第一学期是一轮复习,非常重要,一则要在一学期内把前四月期学习的内容复习一遍,可想而知,密度有多大,必须跟上老师复习的进度,当天问题最好当天解决,二制定一个切实可行的目标,计划,只要能做到每个月提高五分,也就是一个选择或者填空,那么在高考前的8个月内就可以提高40分。
到了高三文科,转理科就困难了,还有七,八个月就高考了只能数,理,化从初二以每个课本,每一个单元要强练习,强记要主重要点。要把近十年内高考试卷的理科重新做几遍,抓重点不懂问老师,成绩好的同学了。
2019届荆荆襄宜四地七校考试联盟高三10月联考英语答案
2018-11-07 14:58:50
湖北四地七校的高三联考已经结束了,现在小编收集整理了相关考试的卷子和答案,想要了解一下的可以来看看哦!2019届荆荆襄宜四地七校考试联盟高三10月联考英语答案答案和试卷都有
2019高三10月湖北四地七校联考文科数学答案
2018-11-07 14:50:24
2019届荆荆襄宜四地七校考试联盟高三10月联考文科数学答案是由龙泉中学命题的,这套的答案是什么呢?想要核对的快来看看吧!2019高三10月湖北四地七校联考文科数学答案答案如下:这
昆明市第一中学2019届第三期全国联考语文答案
2018-11-02 10:40:43
小编这次收集的是昆明市第一中学2019届第三次月考的语文答案,想要核对答案的可以来看看哦!昆明市第一中学2019届第三期全国联考语文答案一、现代文阅读(36分)(一)论述类文本阅读(本