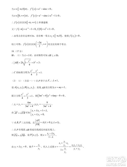
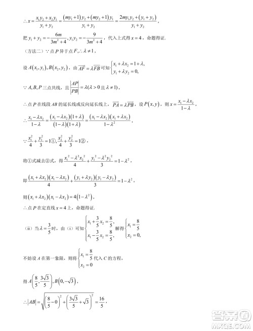
小编这次收集整理的是2025届广东省六校高三八月第一次联考的数学试题答案,满分150分,考试时间120分钟,这个是适用于广东省的数学模拟试卷,想要练习的可以来做做看哦,检查一下自己做的对不对吧!

答案如下,仅供参考!










2024年典韦杯暑期联考高三7月数学试题答案
2024-08-12 18:17:04
小编这次收集整理的是2024年典韦杯暑期联考高三7月的数学试题答案,这个是联赛性质的考试,适用于数学训练,主要针对高三的复习,考试范围为高考范围,想要练习的可以来做做看哦!2024
湖南邵阳二中2025届高三上学期8月月考数学试题答案
2024-08-12 15:09:53
小编这次收集整理的是湖南邵阳二中2025届高三上学期8月月考数学试题答案,时间120分钟,满分150分,想要练习的可以来做做看哦,检查一下自己做的对不对吧,数学练习试卷小编整理的还
2024年8月第三届鱼塘鸽子杯高考适应性练习数学试题答案
2024-08-12 14:17:11
小编这次收集整理的是2024年8月第三届鱼塘鸽子杯高考适应性练习的数学试题答案,本试卷共4页,满分150分,考试用时120分钟,19小题,想要练习一下的可以来做做看,检查一下自己做的对不
湖北省部分学校2025届新高三新起点暑期效果联合质检答案
2024-08-12 11:15:47
小编这次收集整理的是湖北省部分学校2025届新高三新起点暑期效果联合质检的数学试卷答案,满分150分,考试用时120分钟,这次的试卷是湖北的联考试卷,前面是试题,后面是答案,想要练习