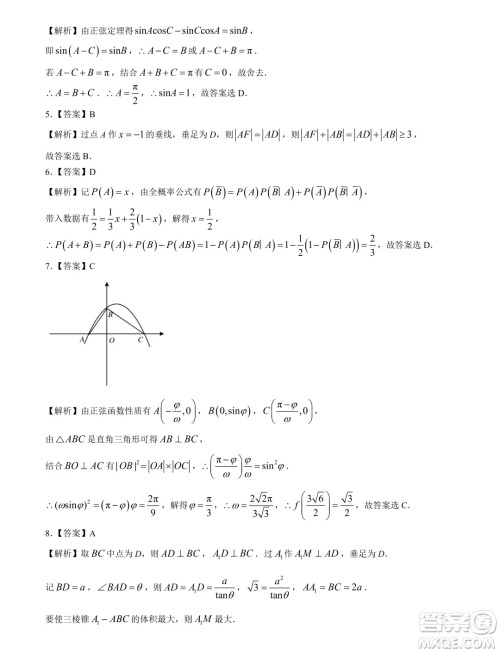
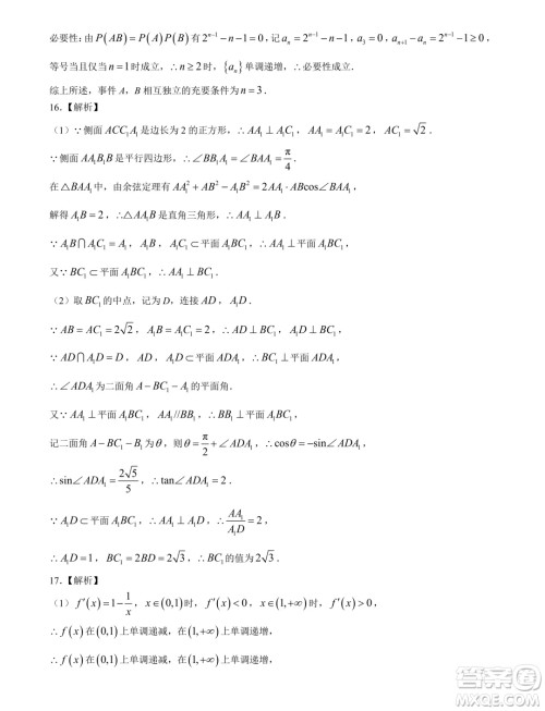
小编这次收集整理的是2025届广东高三久洵杯七月调研测试的数学试题答案,这个也是七月份的一次调研摸底,马上就要进入新的学期,真是开始第一轮的复习,想要练习的可以来做做看哦!

答案如下,仅供参考!













贵州省2025届普通高中毕业生竞赛调研测试数学试题答案
2024-07-28 10:17:08
小编这次收集整理的是贵州省2025届普通高中毕业生竞赛调研测试的数学试题答案,这次的试卷还是很不错的,也是为新一轮的高三复习进行一个摸底练习,想要做的可以来试试看哦!贵州省
2025届江苏南京田家炳高级中学新高三上学期期初考试模拟数学卷一答案
2024-07-28 09:42:17
小编这次收集整理的是2025届江苏南京田家炳高级中学新高三上学期期初考试模拟数学卷一的答案,这个是7月21日的考试,想要来练习一下的可以来做做看哦,七月底准高三学子已经开始
2025届河南省部分重点中学高三上学期开学摸底测试数学试题答案
2024-07-26 14:57:25
小编这次收集整理的是2025届河南省部分重点中学高三上学期开学摸底测试的数学试题答案,本次考试内容也主要是之前的复习进度的,符合高考方向,想要练习的可以来做做看哦!2025届河
2025届湖北武汉部分高中高三起点考试数学试卷答案
2024-07-26 10:50:49
小编这次收集整理的是2025届湖北武汉部分高中高三起点考试的数学试卷答案,考试时间2024年7月24日下午两点到四点,满分150分,想要练习的可以来做做看哦,检查一下自己做的对不对吧