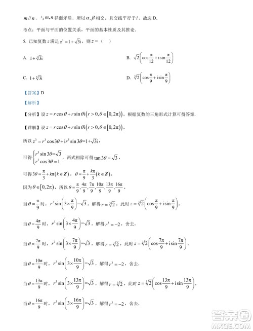
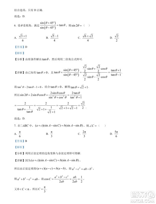
小编这次收集整理的是2025届江苏部分省级示范性重点中学高三七月摸底考试的数学试卷答案,本试卷共4页,全卷满分150分,考试用时120分钟,想要练习的可以来做做看,检查一下自己做的对不对,在这个是摸底考试,也是对高三复习的一个预判。

答案如下,仅供参考!



















辽宁省普通高中2025届高三上学期期初考试模拟试题专题集训导数答案
2024-07-25 09:08:56
小编这次收集整理的是辽宁省普通高中2025届高三上学期期初考试模拟试题专题集训的导数答案,想要练习的可以来做做看哦,检查一下自己做的对不对,这个系列的试卷是开学前的集训练
河北省2024-2025学年高三暑期数学模拟练习自测卷三答案
2024-07-23 10:47:17
小编这次收集整理的是河北省2024-2025学年高三暑期数学模拟练习自测卷三的答案,本试卷共4页,满分150分,考试时间120分钟,想要练习的可以来做做看哦,这个是七月份的考试!河北省2024
2025届高三7月学情调研测试样卷模拟数学练习答案
2024-07-23 09:00:09
小编这次收集整理的是2025届高三7月学情调研测试样卷模拟的数学练习答案,本试卷共4页,满分150分,考试时间120分钟,想要练习的可以来做做看哦,检查一下自己做的对不对吧!2025届高三
2024年高考新课标I卷语文试卷答案
2024-06-09 09:12:29
今天小编为同学们整理了2024年高考新课标I卷语文试卷及答案,对于同学们来说,语文科目是很重要的,同学们考完如果想要估分的话可以对照了解一下。当然,这份答案仅供参考,具体内容