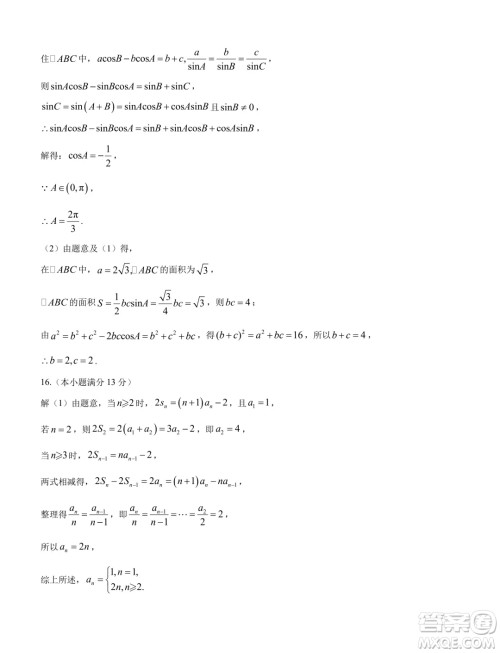
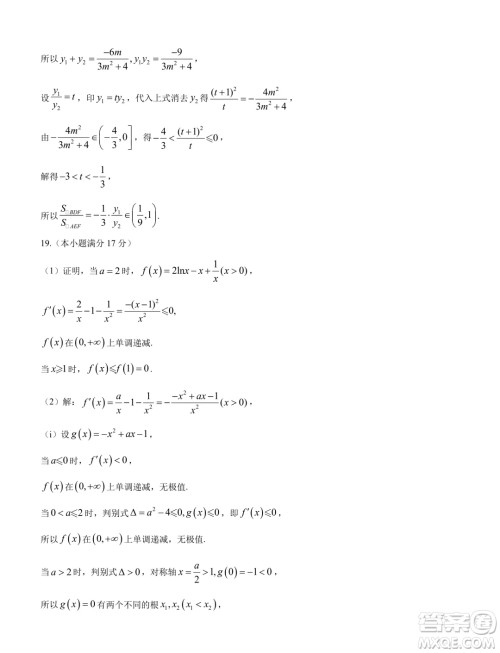
小编这次收集整理的是2024届3+3+3高考备考诊断学联考卷二的数学试卷答案,这个是三月底的数学联考考试,想要练习一下的可以来看看,检查一下自己做对了多少,对于评估自己当前的复习进度还是很有帮助的!

答案如下,仅供参考!










2024届安徽天域全国名校协作体高三下学期联考二模数学试题答案
2024-03-20 11:34:43
小编这次收集整理的屙屎安徽地区的天域全国名校协作体联考的高三数学试卷参考答案,前面是习题试卷,后面是解析参考,想要来练习一下的可以来看看哦,多做做试卷对于题目的把握更有
2023-2024学年度苏锡常镇四市高三教学情况调研一数学试卷答案
2024-03-20 10:11:31
小编这次收集整理的是2023-2024学年度苏锡常镇四市高三教学情况调研一的数学试卷答案,这个系列的试卷适用于江浙地带学子使用,教学内容也比较贴近,多练习,根据后面的解析来核对
2024届湖北武汉六中等部分重点中学高三第二次联考数学试题答案
2024-03-19 16:27:25
小编这次收集整理的是2024届湖北武汉六中等部分重点中学高三第二次联考的数学试题答案,这个系列的试卷适用于湖北地区,是武汉本地的第二次联考了,出题的难度也还不错,感兴趣的可
成都市2021级高中毕业班第二次诊断性检测文科数学试卷答案
2024-03-19 15:47:19
小编这次收集整理的是成都市2021级高中毕业班第二次诊断性检测的文科数学试卷答案,这个系列的试卷站内也有整理理科的,想要训练的可以来做做看,理科的直接搜成都市就可以搜到了