对于高三生来说,数学科目的备考难度很大,考试是提分的机会,大家务必得把握住。小编搜集了海南省2024届高三下学期高考全真模拟卷六数学参考答案,内容丰富,希望能帮到你们。

答案如下:
















龙岩市2024届高三下学期3月份教学质量检测物理试题参考答案
2024-03-09 10:29:46
在高三下学期,物理科目的备考难度不低,大家得珍惜时间,考试结束之后做好错题整理,这样才能有效提分。今天分享龙岩市2024届高三下学期3月份教学质量检测物理试题参考答案,感兴趣
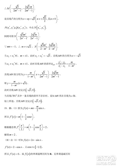
龙岩市2024届高三下学期3月份教学质量检测数学试题参考答案
2024-03-09 10:12:22
小编整理了龙岩市2024届高三下学期3月份教学质量检测数学试题参考答案,感兴趣的可以对照看看。在高三下学期,数学科目的备考难度不低,大家务必把握住考试机会,考完记得反思,争取
石家庄市2024届高三下学期3月份教学质量检测一数学参考答案
2024-03-09 09:58:24
在高三下学期,数学科目的备考内容不少,每次考试之后都得查漏补缺,争取有效提升自己的能力。小编整理了石家庄市2024届高三下学期3月份教学质量检测一数学参考答案,感兴趣的可以
成都石室中学2024届高三下学期二诊模拟考试理科数学A卷参考答案
2024-03-08 10:21:13
在高三下学期,学生们的备考压力很大,数学科目是重点,想要拿到好成绩就得多花时间,考试之后做好错题整理。今天搜集了成都石室中学2024届高三下学期二诊模拟考试理科数学A卷参考