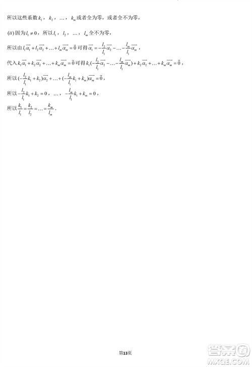
进入高三下学期,学生们要打起精神,珍惜各个考试机会,努力把数学科目的成绩搞起来。小编搜集了华侨城高级中学2024届高三下学期深圳一模适应性考试数学试题参考答案,感兴趣的可以看过来。

答案如下:













重庆八中2024届高三下学期入学适应性考试数学试题参考答案
2024-02-20 11:23:09
小编分享重庆八中2024届高三下学期入学适应性考试数学试题参考答案,内容丰富,欢迎大家对照了解。到了下学期,学生们的备考压力更大了,考试机会要把握住,争取考完有所收获。重庆八
巴蜀中学2024届高三下学期高考适应性月考卷六数学试卷参考答案
2024-02-20 11:13:15
在高三下学期,数学科目的备考要多花心思,每次考试结束之后记得做好错题整理,争取把丢分的问题解决好。小编整理了巴蜀中学2024届高三下学期高考适应性月考卷六数学试卷参考答案
2024届长沙雅礼中学高三月考六数学试卷答案
2024-02-20 09:50:18
小编这次收集整理的是2024届长沙雅礼中学高三月考六的数学试卷答案,这次的也是英才大联考的考试,想要练习的湖南学子可以来看看哦,多做做练习,也是可以看看自己在寒假期间是否有
九师联盟2024届高三下学期2月开学考新高考物理LY参考答案
2024-02-20 09:45:18
我们知道,高三下学期的备考压力非常大,物理科目是重点,大家得多花心思,争取拿到好成绩。今天整理了九师联盟2024届高三下学期2月开学考新高考物理LY参考答案,感兴趣的可以看过来