小编这次收集整理的是重庆市2024年2月16日下午的高三数学考试,这次是2月月度质量检测也是高三的开学考试,出题方向主要是上学期的复习进度和知识总结,也是为了摸底学生在寒假期间的数学学习能力,想要来练习一下的可以看看哦!

答案如下,仅供参考!










福建四校2024年春季2月份高三返校联考物理参考答案
2024-02-18 09:27:21
在高三年级,物理科目的备考难度很大,下学期的任务更加重,大家得做好积极准备。近日,安溪一中、养正中学、惠安一中和泉州实验中学进行了返校联考,小编整理了物理科目的参考答案,感兴趣的可以看过来,希望能帮到你们。
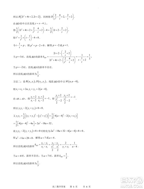
福建百校联考2024届高三下学期正月开学考试数学试题答案
2024-02-18 08:50:43
小编这次收集整理的是2023-2024学年福建百校联考高三正月开学考试的数学试题答案,这个适用于福建地区的学子作为寒假和开学练习,主要考试的也是上学期的复习进度和知识点,想要
2024届高三新高考改革数学适应性练习2九省联考题型试卷答案
2024-02-14 11:00:30
小编这次收集整理的是2024届高三新高考改革数学适应性练习2九省联考题型的试卷答案,这个系列的目前整理了六套,都是九省联考题型的,想要练习的可以了哎做做看,根据解析来自我评
2024届高三新高考改革数学适应性练习4九省联考题型试卷答案
2024-02-14 10:35:37
小编这次收集的是2024届高三新高考改革数学适应性练习4九省联考题型的试卷答案,这个是2.8号的练习测试卷,还有其他套数的,想要练习的可以站内直接搜九省联考题型就可以了,多练习