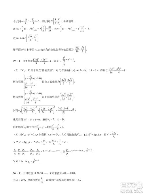
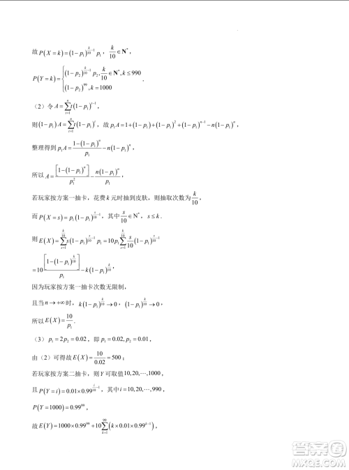
小编这次收集整理的是江苏南京师大附中2024届高三寒假模拟测试的数学试题答案,这个是九省联考题型模式的,所以九省联考地区的学子也可以来练习一下,九省联考地区分别为:安徽,江西,广西,甘肃,贵州,吉林,黑龙江,河南,新疆,寒假期间想要做做模拟练习的可以来看看!

答案如下,仅供参考!











2024届高三新高考改革数学适应性练习2九省联考题型试卷答案
2024-02-14 11:00:30
小编这次收集整理的是2024届高三新高考改革数学适应性练习2九省联考题型的试卷答案,这个系列的目前整理了六套,都是九省联考题型的,想要练习的可以了哎做做看,根据解析来自我评
2024届高三新高考改革数学适应性练习4九省联考题型试卷答案
2024-02-14 10:35:37
小编这次收集的是2024届高三新高考改革数学适应性练习4九省联考题型的试卷答案,这个是2.8号的练习测试卷,还有其他套数的,想要练习的可以站内直接搜九省联考题型就可以了,多练习
2024届高三新高考改革数学适应性练习6九省联考题型试卷答案
2024-02-14 10:15:23
小编这次收集整理的是2024届高三新高考改革数学适应性练习6九省联考题型的试卷答案,这次的是数学试卷习题和解析,难度还是非常可以的,匹配省考的难度,很适合用来寒假期间练习!202
2024届高三新高考改革数学适应性练习5九省联考题型试卷答案
2024-02-14 09:36:34
小编这次收集整理的是九省联考题型的新高考改革适应性练习的第五套试卷数学试题卷习题和解析,做完了练习之后可以根据解析来评估自己的分数,看看自己大概掌握了多少知识点,感兴