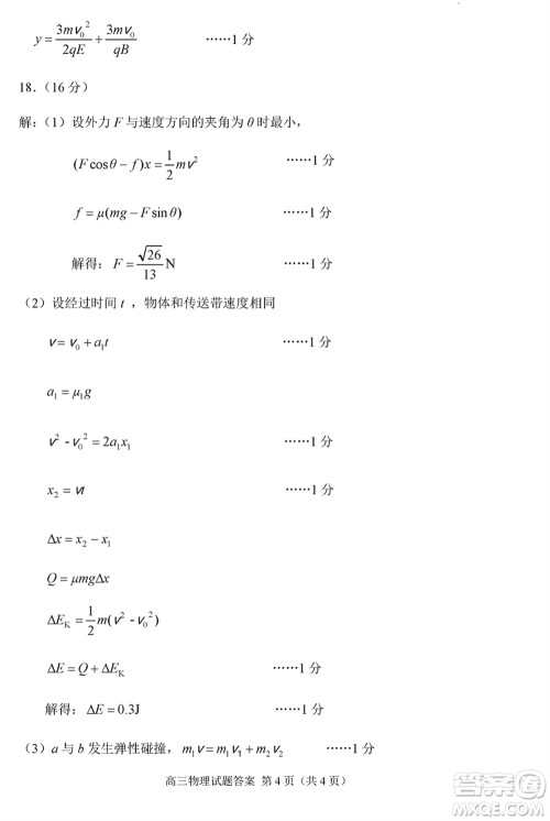
在高三年级,期末考试是很重要的,大家得把握住机会,考完务必查漏补缺,争取有所收获。小编分享威海市2024届高三上学期2月份期末考试物理参考答案,赶紧看过来,希望能帮到你们。

答案如下:













威海市2024届高三上学期2月份期末考试数学参考答案
2024-02-06 10:13:11
在高三年级,学生们的备考压力很大,数学科目是重点,大家得把握期末考试机会,争取拿到好成绩。小编搜集了威海市2024届高三上学期2月份期末考试数学参考答案,感兴趣的可以对照看看
上进教育2024届高三上学期一轮总复习验收考试英语参考答案
2024-02-06 09:49:13
对于高三生来说,英语科目的备考要求不少,大家得珍惜考试机会,争取提升自己的能力。小编搜集了上进教育2024届高三上学期一轮总复习验收考试英语参考答案,赶紧看过来,希望能帮到你
上进教育2024届高三上学期一轮总复习验收考试物理参考答案
2024-02-06 09:35:54
在高三上学期,物理科目的备考要多花心思,考试结束之后记得做好错题整理,争取把丢分的问题解决好。小编分享上进教育2024届高三上学期一轮总复习验收考试物理参考答案,感兴趣的可
上进教育2024届高三上学期一轮总复习验收考试数学参考答案
2024-02-06 09:12:27
在高三年级,数学科目的备考压力不小,大家想拿到好成绩就得多做练习,平时的考试机会也得把握住。小编整理了上进教育2024届高三上学期一轮总复习验收考试数学参考答案,感兴趣的可