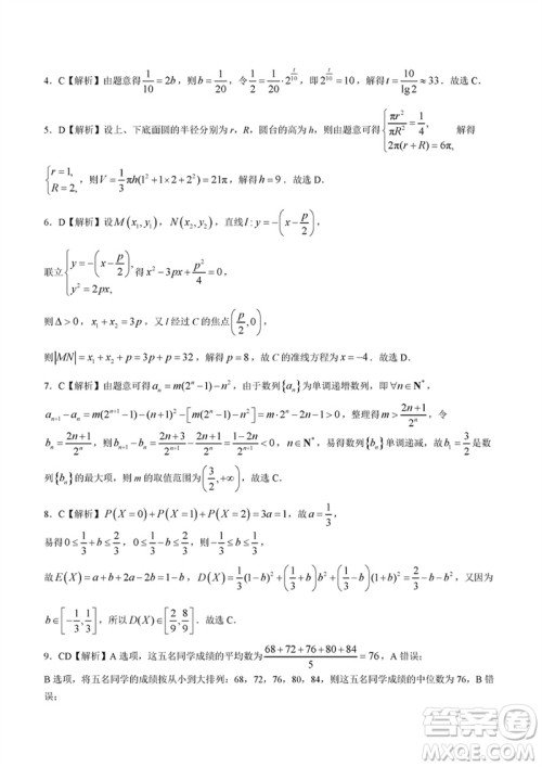
对于高三生来说,数学科目的备考要求不少,每次考试都是检验的好机会,大家务必得把握住。小编搜集了河南青桐鸣2024届高三上学期2月份联考数学参考答案,感兴趣的可以看过来,希望能帮到你们!

答案如下:










河南省2023-2024学年高三上学期期末检测数学参考答案
2024-02-05 10:36:07
今天分享河南省2023-2024学年高三上学期期末检测数学参考答案,内容丰富,感兴趣的可以对照看看。对于高三生来说,数学科目的备考难度很大,每次考试机会都得认真把握,争取提升自己
金科大联考2024届高三上学期1月质量检测地理参考答案
2024-02-05 10:18:53
我们知道,高三年级的备考压力很大,地理科目想拿到好成绩就得把握住机会,课余时间要多做练习。今天整理了金科大联考2024届高三上学期1月质量检测地理参考答案,感兴趣的可以看过
金科大联考2024届高三上学期1月质量检测生物参考答案
2024-02-05 10:12:13
在高三上学期,生物科目的备考内容不少,大家要珍惜机会,考试结束后做好错题收集,争取把丢分的问题解决清楚。小编分享金科大联考2024届高三上学期1月质量检测生物参考答案,感兴趣
金科大联考2024届高三上学期1月质量检测化学参考答案
2024-02-05 09:51:49
我们知道,高三年级的化学科目备考内容不少,大家要多花心思,考试结束之后记得查漏补缺。小编搜集了金科大联考2024届高三上学期1月质量检测化学参考答案,赶紧看过来,希望能帮到你