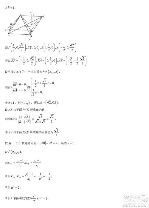
进入高三上学期,大家要做好积极的准备,平时的考试机会要把握住,争取考完有所收获。今天分享海南省2023-2024学年高三上学期1月高考全真模拟卷五数学参考答案,内容丰富,欢迎大家对照查阅。

答案如下:










哈尔滨市三校2023-2024学年高三上学期期末考试联考英语试题参考答案
2024-01-08 09:51:11
到了高三年级,学生们要珍惜考试机会,尤其是期末这样的大考,考完务必得做好反思工作,争取提升自己的能力。小编整理了哈尔滨市三校2023-2024学年高三上学期期末考试联考英语试题
哈尔滨市三校2023-2024学年高三上学期期末考试联考物理试题参考答案
2024-01-08 09:42:08
在高三年级,学生们的备考压力很大,每天要做的事情非常多,考试结束之后记得积极查漏补缺,这样才能有效提分。今天搜集了哈尔滨市三校2023-2024学年高三上学期期末考试联考物理试
哈三中2023-2024学年高三上学期期末考试生物参考答案
2024-01-06 11:53:05
对于高三生来说,生物科目的备考要多花心思,该做的练习不能少,考试机会也得把握住。今天搜集了哈三中2023-2024学年高三上学期期末考试生物参考答案,感兴趣的可以看过来。当然,答
哈三中2023-2024学年高三上学期期末考试地理参考答案
2024-01-06 11:43:29
进入高三上学期,各个科目的备考都得重视起来,尤其是自己的弱科,大家务必要多花心思。小编分享哈三中2023-2024学年高三上学期期末考试地理参考答案,内容新颖,感兴趣的可以看过来