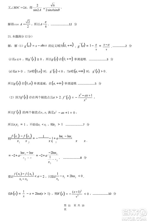
在高三年级,数学科目的备考内容很多,平时务必要珍惜时间,课下也得勤做练习,这样才能有效提分。今天分享莆田市2023年秋五校联盟高三上学期11月期中联考数学参考答案,赶紧看过来,希望能帮到你们。

答案如下:












银川一中2024届高三上学期11月第四次月考英语参考答案
2023-11-30 16:58:28
对于很多高三生来说,英语科目的备考难度很大,想要拿到好成绩务必得多花心思,考试机会要把握住。小编分享银川一中2024届高三上学期11月第四次月考英语参考答案,感兴趣的可以对照
银川一中2024届高三上学期11月第四次月考理科数学参考答案
2023-11-30 16:42:54
进入高三上学期,数学科目的备考要多花心思,每次考试结束之后要记得做总结,争取把丢分的问题解决好。今天分享银川一中2024届高三上学期11月第四次月考理科数学参考答案,感兴趣的
银川一中2024届高三年级11月第四次月考文科数学参考答案
2023-11-30 16:37:02
今天分享银川一中2024届高三年级11月第四次月考文科数学参考答案,感兴趣的可以对照查阅。这是为高三年级学生搜集到的数学月考试题及答案,内容丰富,希望能帮到你们。当然,答案仅
陕西长安一中2021级高三生上学期第三次教学质量检测文科数学答案
2023-11-30 16:20:05
在高三上学期,数学科目的备考内容不少,不管是课上还是课下,大家务必要把握住机会,争取把知识点搞清楚。小编整理了陕西长安一中2021级高三生上学期第三次教学质量检测文科数学答