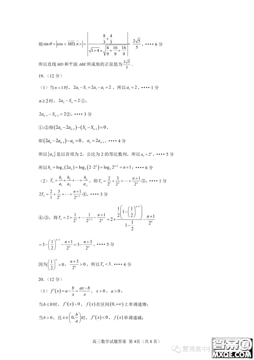
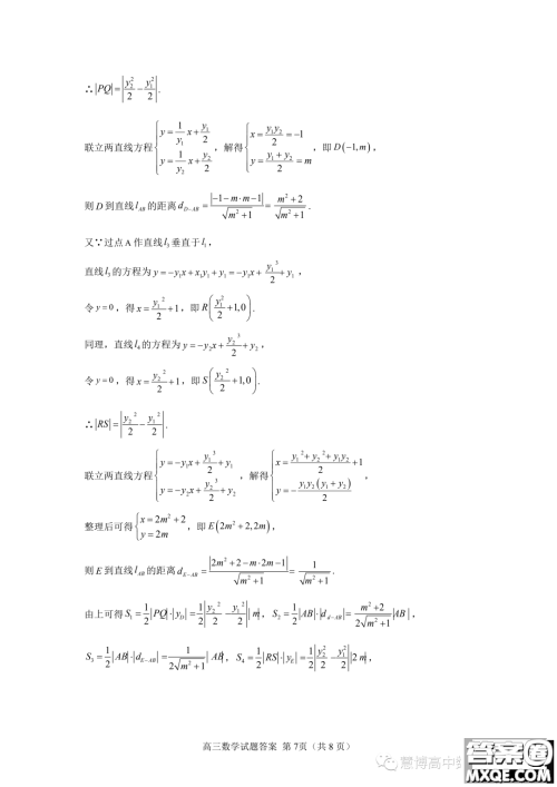
小编这次收集整理的是2024届福建部分地市校高中毕业班第一次质检的数学试题答案,命题人厦门一中,审题人厦门一中,这个系列的还是非常不错的,感兴趣的可以来做做看,练习一下自己的做题速度和学习进度!

答案如下,仅供参考!













广西金太阳2024届高三上学期11月跨市联合适应性训练检测卷24-123C政治答案
2023-11-27 17:21:00
在高三年级,学生们的备考时间非常紧张,政治科目想拿到好成绩就得把握住考试机会,争取把知识点掌握清楚。今天分享广西金太阳2024届高三上学期11月跨市联合适应性训练检测卷24-1
广西金太阳2024届高三上学期11月跨市联合适应性训练检测卷24-123C生物答案
2023-11-27 16:53:30
小编分享广西金太阳2024届高三上学期11月跨市联合适应性训练检测卷24-123C生物答案,感兴趣的可以看过来。对于高三生来说,生物科目的备考压力不小,考试过后务必积极查漏补缺,千
广西金太阳2024届高三上学期11月跨市联合适应性训练检测卷24-123C化学答案
2023-11-27 13:36:24
对于高三生来说,化学科目的备考内容不少,每天下课之后务必把握住时间,争取把知识点巩固好。小编分享广西金太阳2024届高三上学期11月跨市联合适应性训练检测卷24-123C化学答案,
广西金太阳2024届高三上学期11月跨市联合适应性训练检测卷24-123C物理答案
2023-11-27 11:53:08
到了高三年级,物理科目的备考要重点关注,考试完成之后记得反思自己,争取把知识点掌握好。小编分享广西金太阳2024届高三上学期11月跨市联合适应性训练检测卷24-123C物理答案,感