首页小学初中高中专题
当前位置:首页 > 高中答案网 > 高中三年级答案

山东齐鲁名校2024届高三上学期9月质检数学试卷答案

时间:2023-09-25 09:30:25    作者:答案圈
标签:

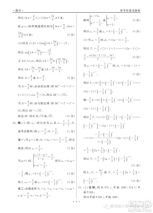
小编这次收集整理的是山东齐鲁名校2024届高三上学期9月质检的数学试卷答案,这个试卷也是山东省的高三第一次学业质量联合检测,感兴趣的可以来练习一下哦!Bxc答案圈

山东齐鲁名校2024届高三上学期9月质检数学试卷答案Bxc答案圈

山东齐鲁名校2024届高三上学期9月质检数学试卷答案

答案如下,仅供参考!Bxc答案圈

山东齐鲁名校2024届高三上学期9月质检数学试卷答案Bxc答案圈

山东齐鲁名校2024届高三上学期9月质检数学试卷答案Bxc答案圈

山东齐鲁名校2024届高三上学期9月质检数学试卷答案Bxc答案圈

山东齐鲁名校2024届高三上学期9月质检数学试卷答案Bxc答案圈

山东齐鲁名校2024届高三上学期9月质检数学试卷答案Bxc答案圈

山东齐鲁名校2024届高三上学期9月质检数学试卷答案Bxc答案圈

山东齐鲁名校2024届高三上学期9月质检数学试卷答案Bxc答案圈

山东齐鲁名校2024届高三上学期9月质检数学试卷答案Bxc答案圈

山东齐鲁名校2024届高三上学期9月质检数学试卷答案Bxc答案圈


Bxc答案圈

查看更多答案
相关文章
专题推荐

2023口算大通关系列答案

2023阳光同学计算小达人系列答案

2023春季53全优卷下册系列答案

2023全品学练考初中系列答案

相关专题
课后作业答案
数学
语文
英语
历史
地理
政治
物理
化学
生物
其他
网友留言
最新更新
山东齐鲁名校2024届高三上学期9月质检数学试卷答案
天壹名校联盟2024届高三9月大联考数学试卷答案
高三联考答案 2024高三模拟考试答案
百师联盟2024届高三9月一轮复习考试新高考卷英语试题答案
高三联考 高三模拟试卷 2024高三模拟考试答案
百师联盟2024届高三9月一轮复习考试辽宁卷地理试题答案
高三联考答案 2024高三模拟考试答案