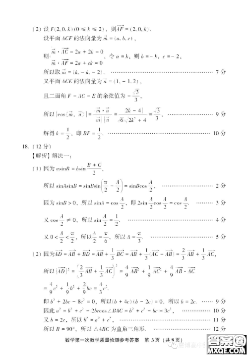
小编这次收集整理的是漳州市2024届高三毕业班第一次教学质量检测的数学试题答案,本试卷共6页,满分150分,考试时间120分钟,这个系列的还是非常不错的,感兴趣的可以来看看哦!

答案如下,仅供参考!














辽宁省名校联盟2023年高三9月份联合考试思想政治试卷答案
2023-09-07 16:42:00
小编这次收集整理的是辽宁省名校联盟2023年高三9月份联合考试的思想政治试卷答案,本试卷满分100分,考试时间75分钟,这个系列的还有其他学科的,这个是辽宁名校联盟试题研发中心命
辽宁省名校联盟2023年高三9月份联合考试生物试卷答案
2023-09-07 16:08:38
小编这次收集整理的是辽宁省名校联盟2023年高三9月份联合考试的生物试卷答案,本试卷满分100分,考试时间75分钟,大连育明高级中学命题,感兴趣的可以来练习一下,其他学科的也有收集
辽宁省名校联盟2023年高三9月份联合考试化学试卷答案
2023-09-07 15:44:34
小编这次收集整理的辽宁省名校联盟2023年高三9月份联合考试的化学试卷答案,阜新市实验中学化学组编写,本试卷满分100分,考试时间75分钟,这个系列的还有其他学科的,感兴趣的可以站
湖北省宜荆荆恩2024届高三9月联考语文试卷答案
2023-09-07 15:36:09
小编这次收集整理的是湖北省宜荆荆恩2024届高三9月联考的语文试卷答案,这次是九月的考试,湖北四地联考,小编还有整合其他学科的,想要了解一下的可以来看看,站内直接搜宜荆荆恩就