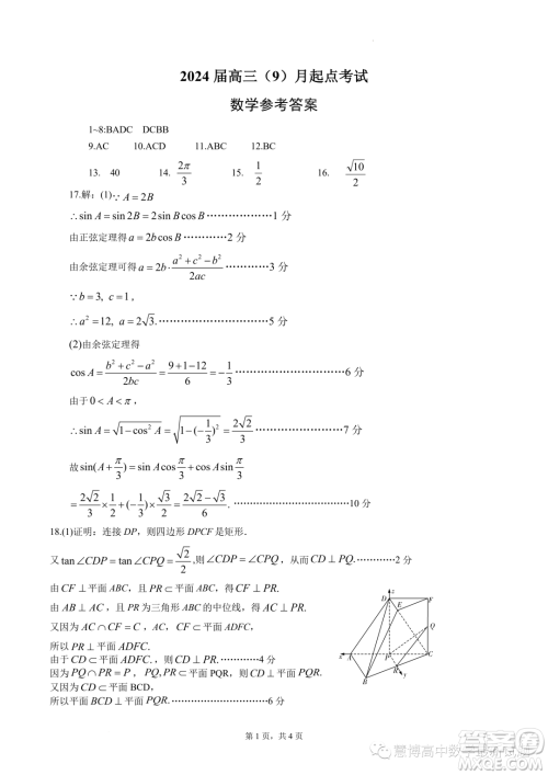
小编这次收集整理的是湖北省宜荆荆恩2024届高三9月联考的数学试卷答案,这个是九月的考试,宜昌荆州荆门恩施四地联考,感兴趣的可以来看看,其他学科的也会陆续收集整理!

答案如下,仅供参考!








广东省2024届普通高中毕业班第一次调研考试数学试卷答案
2023-09-07 09:15:09
小编这次收集整理的是广东省2024届普通高中毕业班第一次调研考试的数学试卷答案,这个系列的还有其他学科的,站内直接搜广东省就可以搜到了,这个系列的还是非常不错的!广东省2024
2023-2024学年高中毕业班阶段性测试一化学试卷答案
2023-09-06 17:33:21
小编这次收集整理的是2023-2024学年高中毕业班阶段性测试一的化学试卷答案,这个系列的试卷还有其他学科比如数学语文等等,站内直接搜高中毕业班就可以搜到了,感兴趣的可以来看
2023-2024学年高中毕业班阶段性测试一数学试卷答案
2023-09-06 16:51:03
小编这次收集整理的是2023-2024学年高中毕业班阶段性测试一的数学试卷答案,这个系列的试卷其他学科的也有整合,站内直接搜高中毕业班就可以搜到了,感兴趣的可以来练习一下!2023-
2023-2024学年高中毕业班阶段性测试一语文试卷答案
2023-09-06 16:36:34
小编这次收集整理的是2023-2024学年高中毕业班阶段性测试一的语文试卷答案,这个系列的还有其他学科的,站内直接搜高中毕业班就可以搜到,多个练习多提升,掌握自己的学习进度!2023-