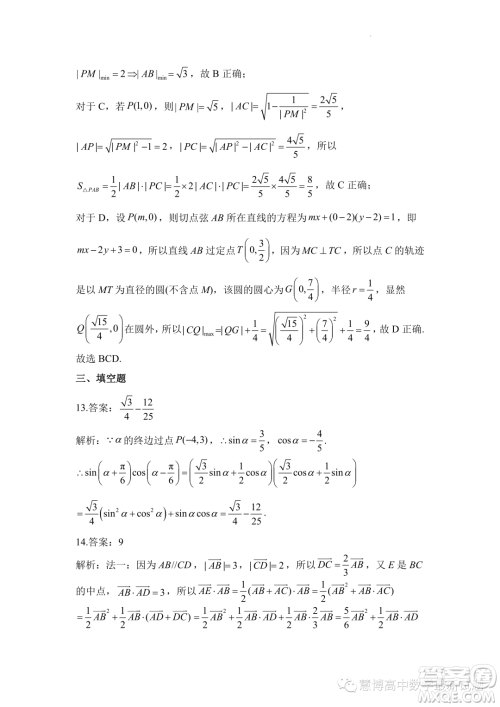
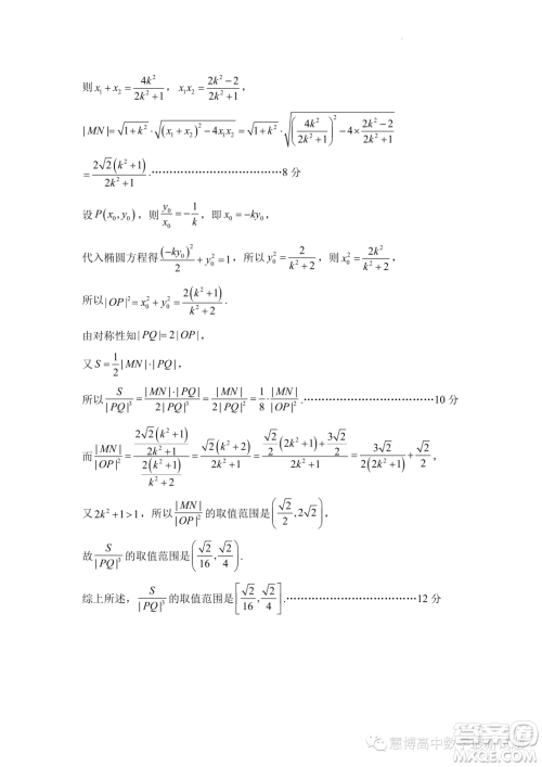
小编这次收集整理的是2023届高考数学预测猜题卷的新高考版的试题答案,前面是模拟试题,后面是解析参考,在做完了之后可以根据解析来评估自己大概可以得多少分,这套试卷还是比较接近高考难度的,相对来说是一个不错的模拟机会!

答案如下,仅供参考!

















2023齐齐哈尔高三三模语文试卷答案
2023-05-16 17:40:08
小编这次收集整理的是2023齐齐哈尔高三三模的语文试卷答案,全卷满分150分,考试时间150分钟,这个系列的是齐齐哈尔地区的高三三模考试,本次收集是语文试卷,语文其实重在积累,多做多
辽宁协作校2022-2023学年度下学期高三第三次模拟考试试题数学试卷答案
2023-05-16 17:35:17
小编这次收集整理的是辽宁协作校2022-2023学年度下学期高三第三次模拟考试试题的数学试卷答案,命题人为旅顺中学和沈阳二中,这个系列的试卷还是非常不错的,也符合当前辽宁地区
辽宁协作校2022-2023学年度下学期高三第三次模拟考试试题语文试卷答案
2023-05-16 16:31:45
小编这次收集整理的是辽宁协作校2022-2023学年度下学期高三第三次模拟考试试题的语文试卷答案,这个是丹东二中和本溪高中命题的,还有其他学科的也有整理,站内直接搜辽宁协作校
2023年普通高等学校招生全国统一考试GQN英语样卷一答案
2023-05-16 15:50:53
小编这次收集整理的是2023年普通高等学校招生全国统一考试GQN的英语样卷一答案,还有语文试卷整理,站内直接搜样卷就可以搜到了,这个系列的试卷出题还是不错的,注意版本区分就可