首页小学初中高中专题
当前位置:首页 > 高中答案网 > 高中三年级答案

2023年重庆市巴蜀中学高三数学适应性月考卷九参考答案

时间:2023-05-13 10:55:33    作者:答案圈
标签:
2023高三模拟考试答案   高三模拟考试答案

小编整理了2023年重庆市巴蜀中学高三数学适应性月考卷九参考答案,欢迎大家积极查阅。到了高三年级,学生们每天的备考压力非常大,各个科目都得花心思。我们要把握考试机会,积极查漏补缺,这样才能有效提分。hne答案圈

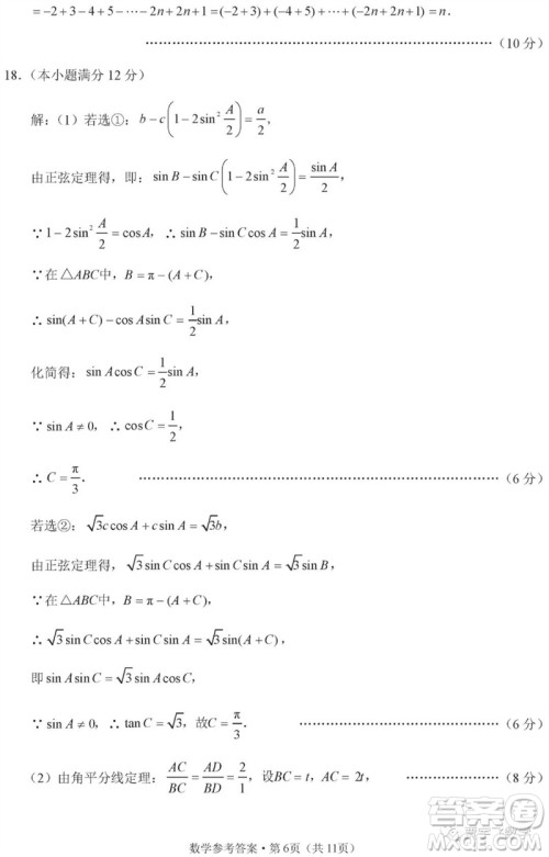
2023年重庆市巴蜀中学高三数学适应性月考卷九参考答案hne答案圈

2023年重庆市巴蜀中学高三数学适应性月考卷九参考答案

答案如下:hne答案圈

2023年重庆市巴蜀中学高三数学适应性月考卷九参考答案hne答案圈

2023年重庆市巴蜀中学高三数学适应性月考卷九参考答案hne答案圈

2023年重庆市巴蜀中学高三数学适应性月考卷九参考答案hne答案圈

2023年重庆市巴蜀中学高三数学适应性月考卷九参考答案hne答案圈

2023年重庆市巴蜀中学高三数学适应性月考卷九参考答案hne答案圈

2023年重庆市巴蜀中学高三数学适应性月考卷九参考答案hne答案圈

2023年重庆市巴蜀中学高三数学适应性月考卷九参考答案hne答案圈

2023年重庆市巴蜀中学高三数学适应性月考卷九参考答案hne答案圈

2023年重庆市巴蜀中学高三数学适应性月考卷九参考答案hne答案圈

2023年重庆市巴蜀中学高三数学适应性月考卷九参考答案hne答案圈

2023年重庆市巴蜀中学高三数学适应性月考卷九参考答案hne答案圈

2023年重庆市巴蜀中学高三数学适应性月考卷九参考答案hne答案圈

2023年重庆市巴蜀中学高三数学适应性月考卷九参考答案hne答案圈

2023年重庆市巴蜀中学高三数学适应性月考卷九参考答案hne答案圈

2023年重庆市巴蜀中学高三数学适应性月考卷九参考答案hne答案圈

查看更多答案
相关文章
专题推荐

2023口算大通关系列答案

2023阳光同学计算小达人系列答案

2023春季53全优卷下册系列答案

2023全品学练考初中系列答案

相关专题
课后作业答案
数学
语文
英语
历史
地理
政治
物理
化学
生物
其他
网友留言
最新更新
2023年重庆市巴蜀中学高三数学适应性月考卷九参考答案
2023高三模拟考试答案 高三模拟考试答案
2023年甘肃省第三次高考诊断考试理科数学试卷答案
高三模拟 2023高三模拟考试答案
2023年甘肃省第三次高考诊断考试文科数学试卷答案
高三模拟 2023高三模拟考试答案
2023年5月长郡一中雅礼师大附中一起考数学试卷答案
高三模拟 2023高三模拟考试答案