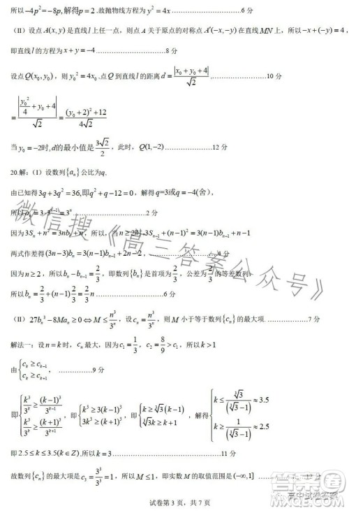
小编这次收集整理的是石家庄市2023届高中毕业年级教学质量检测三的数学试卷答案,这个系列的试卷还是很不错的,感兴趣的可以来看看,其他学科的也有整合,站内直接搜石家庄市就可以搜到,都是三模考试的学科试卷!

答案如下,仅供参考!











石家庄市2023届高中毕业年级教学质量检测三语文试卷答案
2023-05-11 11:27:14
小编这次收集整理的是石家庄市2023届高中毕业年级教学质量检测三的语文试卷答案,本试卷满分150分,考试时间150分钟,这个系列的是石家庄市高三三模考试的语文试卷答案,感兴趣的可
唐山市2023届普通高等学校招生统一考试第三次模拟演练物理试卷答案
2023-05-11 10:47:59
小编这次收集整理的是唐山市2023届普通高等学校招生统一考试第三次模拟演练的物理试卷答案,这个系列是唐山市5月高三三模考试物理试卷的习题和答案,还有其他学科的也有整理,站
唐山市2023届普通高等学校招生统一考试第三次模拟演练历史试卷答案
2023-05-11 10:25:23
小编这次收集整理的是唐山市2023届普通高等学校招生统一考试第三次模拟演练的历史试卷答案,这个系列是唐山市三模考试,其他学科的也有收集整理,站内直接搜唐山市就可以了!唐山市
唐山市2023届普通高等学校招生统一考试第三次模拟演练思想政治试卷答案
2023-05-11 09:59:49
小编这次收集整理的是唐山市2023届普通高等学校招生统一考试第三次模拟演练的思想政治试卷答案,本试卷共16题,每题3分,共48分,这个系列的还有其他学科,站内直接搜唐山市就可以了!