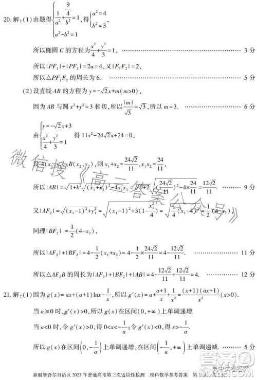
小编这次收集整理的是新疆维吾尔自治区2023年普通高考第三次适应性检测的理科数学试卷答案,面值150分,考试时间120分钟,其他学科的也有收集,这个是新疆地区的高三第三次检测,感兴趣的可以来看看,多做模拟练习对于培养题感还是很不错的!

答案如下,仅供参考!











新疆维吾尔自治区2023年普通高考第三次适应性检测语文试卷答案
2023-05-10 15:56:21
小编这次收集整理的是新疆维吾尔自治区2023年普通高考第三次适应性检测的语文试卷答案,卷面分值150分,考试时间150分钟,这个系列的是新疆的高三三模考试,试题难度匹配新疆地区,感
济洛平许2022-2023学年高三第四次质量检测理科数学试卷答案
2023-05-10 15:31:45
小编这次收集整理的是济洛平许2022-2023学年高三第四次质量检测的理科数学试卷答案,这个系列的试卷还有其他学科的,比如文科数学、语文、英语等等,感兴趣的可以来看看,多做练习
济洛平许2022-2023学年高三第四次质量检测文科数学试卷答案
2023-05-10 15:10:47
小编这次收集整理的是济洛平许2022-2023学年高三第四次质量检测的文科数学试卷答案,这个系列其他学科的也有整合,站内直接搜济洛平许就可以搜到了,多做练习,多个学科的都有整合,
济洛平许2022-2023学年高三第四次质量检测语文试卷答案
2023-05-10 14:41:43
小编这次收集整理的是济洛平许2022-2023学年高三第四次质量检测的语文试卷答案,本试卷是五月的联考,想要模拟练习的可以来做做看,语文的知识累积还是很重要的,语文的考纲比较广