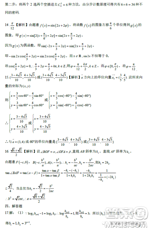
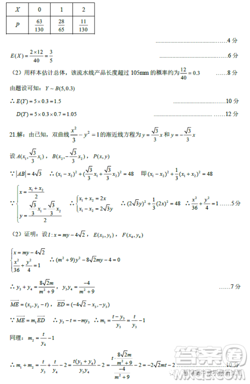
小编这次收集整理的是渝琼辽新高考II卷名校仿真模拟2023年联考的数学试题答案,这次是由沈阳市第二中学命题的,测试时间120分钟,总分150分,感兴趣的可以来看看,做做题目练习一下,看看自己能够有多少分吧!

答案如下,仅供参考!















2023年哈三中高三学年第一次高考模拟考试数学试卷答案
2023-03-03 17:10:26
小编这次收集整理的是哈三中高三下学期第一次模拟考试的数学试卷,也是哈三中的高三一模考试,试卷符合高考范围,对于自我模拟练习来说是一次非常不错的机会,感兴趣的可以来看看,其
江西省重点中学盟校2023届高三第一次联考理科数学试卷答案
2023-03-03 16:24:07
小编这次收集整理的是江西省重点中学盟校2023届高三第一次联考的理科数学试卷答案,高三下学期了,最后半学期复习还是很关键的,多个学校的联考也可以看一下该地区的学生大致学习
江西省重点中学盟校2023届高三第一次联考语文试卷答案
2023-03-03 16:00:35
小编这次收集整理的是江西省重点中学盟校2023届高三第一次联考的语文试卷答案,本试卷分两个部分,阅读题和表达题,全卷满分150分,考试范围为高考全部内容,在做完模拟题之后可以根
南昌20230607项目第一次模拟测试卷语文试题答案
2023-03-03 15:57:22
小编这次收集整理的是20230607项目第一次模拟测试卷的语文试题答案,本次试卷是南昌市的一模考试,满分150分,考试时间150分钟,答题时注意时间,在规定时间内做完,根据答案评估自己的