小编这次收集整理的是2023年菏泽高三一模的数学试卷答案,本试卷分选择题和非选择题两部分,满分150分,考试时间120分钟,这次的是2023年2月的考试,在模拟训练之前注意一下自己所在地的考试模式和菏泽是不是一个哦,不同考试模式的试卷难度也是不一样的!

答案如下,仅供参考!











2023年高考蓝皮书全国卷标准样卷二语文试卷答案
2023-02-20 14:59:11
小编这次收集整理的是2023年高考蓝皮书全国卷标准样卷二的语文试卷答案,这个系列的试卷是蓝皮书的模拟试卷,这次整合的是第二套,这个适用于全国地区,想要进行模拟练习的可以来看
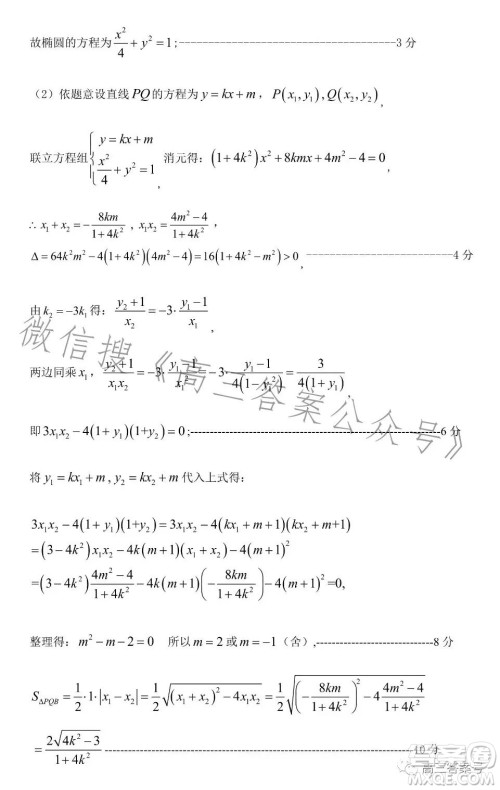
宿州市2023届高三教学质量检测数学试卷答案
2023-02-20 11:32:47
小编这次收集整理的是宿州市2023届高三教学质量检测的数学试卷答案,本次试卷满分150分,考试时间120分钟,这个是宿州一模考试,其他学科的也有整合,站内直接搜宿州市就可以搜到了!宿
宿州市2023届高三教学质量检测语文试卷答案
2023-02-20 11:05:03
小编这次收集整理的是宿州市2023届高三教学质量检测的语文试卷答案,这个也是宿州市高三一模考试的试卷习题和参考答案,感兴趣的可以来看看,其他学科的也有整合,站内直接搜宿州市
2023年深圳市高三年级第一次调研考试历史试卷答案
2023-02-17 16:25:18
小编这次收集整理的是2023年深圳市高三年级第一次调研考试的历史试卷答案,这个也是深圳市2023高三一模考试,试卷的含金量还是挺高的,出题水平不错,适用于高三模拟复习,想要自我练