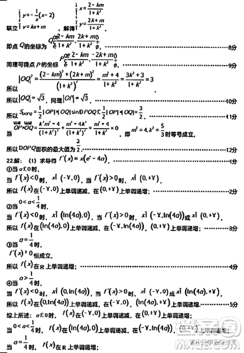
小编这次收集整理的是2023届广东东莞高三上学期教学质量监测的数学试题答案,这个是数学高三的期末考试试卷试题和解析,可以模拟参考一下,针对自己上学期的学习来进行一个复习巩固,知识点和得分点有哪些是还没有了解的,在下学期的复习中要加强!

答案如下,仅供参考!










2022-2023年度极光杯跨年线上测试数学试卷答案
2023-01-03 14:51:52
小编这次收集整理的是2022-2023年度极光杯跨年线上测试的数学试卷答案,这个是元旦的线上测试,试卷命题难度也比较适中,想要进行自我模拟训练的可以做完了之后根据参考答案来核
九师联盟2023届高三12月质量检测数学试卷答案
2023-01-03 11:17:10
小编收集整理的是九师联盟2023届高三12月质量检测的数学试卷答案,这个系列的还有其他学科的,站内搜九师联盟就可以搜到了!做完模拟试卷之后来核对,看看自己哪里做错了,是什么知识
2023届九师联盟高三12月质量检测语文试卷答案
2023-01-03 10:59:14
小编这次收集整理的是2023届九师联盟高三12月质量检测的语文试卷答案,这个是九师联盟12月29日和30日的考试,还是比较新的,本试卷的命题范围是高考范围,还是比较贴合的,想要进行模
炎德英才大联考长郡中学2023届高三月考试卷四数学试卷答案
2023-01-01 11:58:47
小编这次收集整理的是炎德英才大联考长郡中学2023届高三月考试卷四的数学试卷答案,这个是12月份的最新考试的数学试卷的习题和参考答案,目前只有数学的,可以根据自己的需求来进