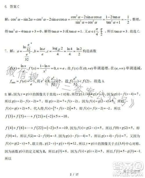
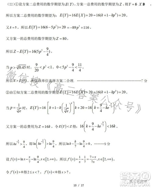
小编这次收集整理的是2023年大连市高三双基测试卷的数学试卷答案,这个系列的其他学科也有整合,做完了之后可以来看看,模拟训练还是很有必要的,很多时候我们都需要多练习才能记住更多的知识点!

答案如下,仅供参考!























2023年大连市高三双基测试卷语文试卷答案
2022-12-30 14:42:59
小编这次收集整理的是大连市高三双基测试卷的语文试卷和解析,这次的是大连市的联考,想要进行模拟测试的可以注意一下自己所在地区的和大连地区的是不是高考是同一考试范围,不然
2023金太阳高三12月联考23217C地理试卷答案
2022-12-30 13:41:04
小编这次收集整理的是2023金太阳高三12月联考23217C的地理试卷答案,这个系列的还有其他学科的,站内搜金太阳就可以搜到了,全科的考试都有整合,这个217C是河北地区的12月联考,注意
2023金太阳高三12月联考23217C历史试卷答案
2022-12-30 11:48:21
小编这次收集整理的是2023金太阳高三12月联考23217C的历史试卷答案,这个系列的试卷答案小编也有整合其他学科的,有需要的可以站内查找,多个学科进行训练综合模拟,全方位的评估自
2023金太阳高三12月联考23217C思想政治试卷答案
2022-12-30 11:11:42
小编这次收集整理的是2023金太阳高三12月联考23217C的思想政治试卷答案,这个系列的试卷有很多,分不同地区,这次的217C是河北地区的高三联考,和河北地区高考大纲和试卷题型一个地