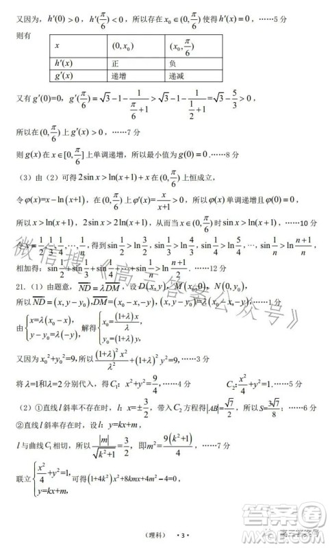
开封市2023届高三年级第一次模拟考试这次整合的是理科数学试卷答案,其他学科的也有收集,站内搜开封市就可以搜到,前面是试卷后面是参考答案和得分点,在测试的时候记得做完了之后再来查看答案哦,这个只是一次模拟考试,不代表最终的分数,还是要好好做题,自我提升的!

答案如下,仅供参考!








开封市2023届高三年级第一次模拟考试文科数学试卷答案
2022-12-08 16:38:55
小编这次收集整理的是开封市2023届的高三第一次模考文科数学的试卷和答案参考,其他学科的也有整合,站内直接搜开封市也可以搜到,这个是高三年级的第一次模拟考试,相对来说还是比
开封市2023届高三年级第一-次模拟考试语文试卷答案
2022-12-08 16:16:49
小编这次收集整理的是开封市2023届高三年级第一-次模拟考试语文试卷的答案,这个是开封市高三第一次模拟考试,也是12月份的最新考试,符合高考语文大纲,想要测试自己高三语文复习
2023天一大联考高三阶段性测试语文试卷答案
2022-12-07 11:33:32
小编这次收集整理的是天一大联考2022-2023学年高中毕业班阶段性测试三语文试卷和试卷参考答案,天一大联考对标的高考考纲是人教版的,针对语文学科方面这套试卷的布局还是很完
2023赣州市教育发展联盟第9次联考化学试卷答案
2022-12-06 17:21:43
小编这次收集整理的是2023赣州市教育发展联盟第9次联考化学试卷答案,这次的赣州市的联考是由宁师中学、会昌三中、瑞金二中、瑞金三中、南康三中、兴国中学六校一起联考的,都