首页小学初中高中专题
当前位置:首页 > 高中答案网 > 高中三年级答案

德强高中2022-2023学年度上学期10月月考高三学年数学试题及答案

时间:2022-11-14 09:06:00    作者:答案圈
标签:
高三月考

德强高中2022-2023学年度上学期10月月考高三学年数学试题及答案小编以及为大家收集整理好了,有兴趣的同学,可以到答案圈查阅一下哦!07u答案圈

德强高中2022-2023学年度上学期10月月考高三学年数学试题及答案07u答案圈

德强高中2022-2023学年度上学期10月月考高三学年数学试题及答案

答案如下:07u答案圈

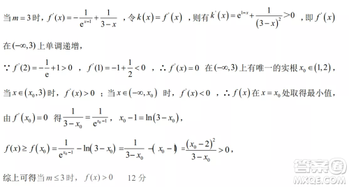
德强高中2022-2023学年度上学期10月月考高三学年数学试题及答案07u答案圈

德强高中2022-2023学年度上学期10月月考高三学年数学试题及答案07u答案圈

德强高中2022-2023学年度上学期10月月考高三学年数学试题及答案07u答案圈

德强高中2022-2023学年度上学期10月月考高三学年数学试题及答案07u答案圈

德强高中2022-2023学年度上学期10月月考高三学年数学试题及答案07u答案圈

德强高中2022-2023学年度上学期10月月考高三学年数学试题及答案07u答案圈

德强高中2022-2023学年度上学期10月月考高三学年数学试题及答案07u答案圈

德强高中2022-2023学年度上学期10月月考高三学年数学试题及答案07u答案圈

德强高中2022-2023学年度上学期10月月考高三学年数学试题及答案07u答案圈

查看更多答案
相关文章
德强高中2022-2023学年度上学期10月月考高三学年语文试题及答案 2022-11-14 08:56:22

德强高中2022-2023学年度上学期10月月考高三学年语文试题及答案小编已经为大家收集整理好了,需要答案的同学,可以到答案圈查阅一下哦!德强高中2022-2023学年度上学期10月月考高

专题推荐

2022小学长江作业本上册系列答案

2022阳光学业评价上册系列答案

2022资源与评价上册系列答案

2022初中全品学练考上册系列答案

2022阳光同学课时优化作业上册系列答案

相关专题
课后作业答案
数学
语文
英语
历史
地理
政治
物理
化学
生物
其他
网友留言
最新更新
德强高中2022-2023学年度上学期10月月考高三学年数学试题及答案
高三月考
德强高中2022-2023学年度上学期10月月考高三学年语文试题及答案
高三月考
哈三中2022-2023学年度上学期高三学年第二次验收考试全科试卷答案
高三验收考试答案
哈三中2022-2023学年度上学期高三学年第二次验收考试政治试卷答案
高三验收考试答案