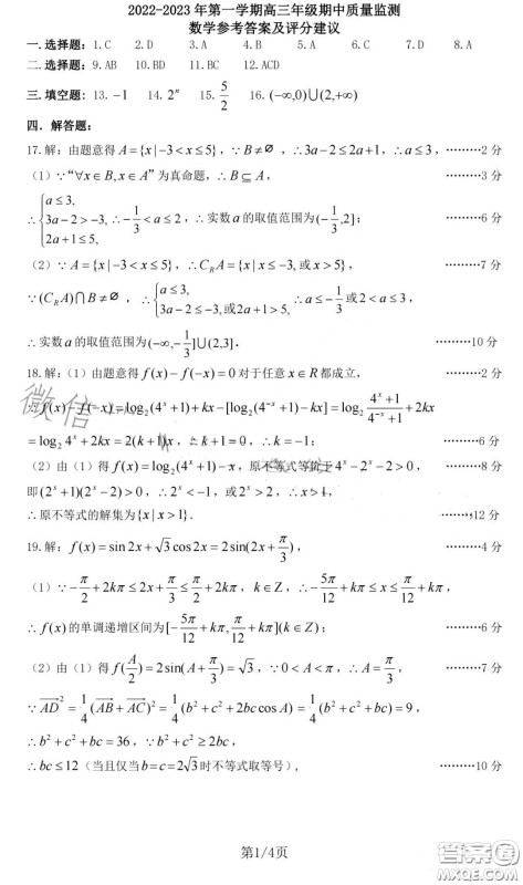
小编这次收集整理的是太原市的2022-2023学年第一学期高三年级期中质量监测的数学试卷答案,这个是期中考试,检测上半学期的学习进度,数学试卷两小时的考试,慎重做题,做完了之后还是要检查一下,不要漏题错填,后面还有参考答案供大家自我评估打分!

答案如下,仅供参考!













名校联考联合体2022年秋季高三11月联考数学答案
2022-11-04 16:46:58
名校联考联合体这次高三11月的联考小编这次整合的是数学参考答案,仅供答题之后参考,还有详细解析,看看自己是为什么答错了吧,把握基础知识,巩固薄弱环节,才能有更好的复习哦!名校联
名校联考联合体2022年秋季高三11月联考语文答案
2022-11-04 15:28:10
小编这次收集整理的是名校联考联合体2022年秋季高三11月联考语文的答案,试题和答案都有收集,想要看看高三联考的学生可以来查看一下,这个是炎德英才名校联考联合体的高三联考哦
2022年秋南阳高三期中质量评估语文试卷答案
2022-11-03 16:43:50
小编这次收集整理的是2022年秋南阳高三期中质量评估语文学科的试卷试题和答案,期中考试的模拟测试还是比较贴合高考质量,想要做模拟测试的可以来看看习题,学习一下,参考评分也在
苏州2022-2023学年第一学期高三期中调研试卷数学试题答案
2022-11-03 09:02:42
小编这次收集整理的是苏州2022-2023学年第一学期高三期中调研试卷数学试题答案,使用这个试卷的可以做完了之后来查看一下参考答案,或者其他地区的也可以用这个来检查一下自己