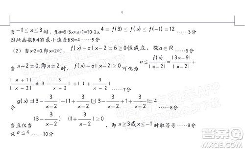
铜仁市2021-2022学年度高三第二次模拟考试文科数学试题及答案小编已经收集整理好了,针对这一学期学习成果的检验,让学生能更好的定位自己的学习情况,为接下来的学习做好准备,需要核对答案的伙伴可以来答案圈看!

本次考试的其他科目的答案小编也有收集整理,需要核对的伙伴可以在答案圈对应的年级搜索查看!









铜仁市2021-2022学年度高三第二次模拟考试理科综合试题及答案
2022-03-15 16:02:48
铜仁市2021-2022学年度高三第二次模拟考试理科综合试题及答案小编已经收集整理好了,针对这一学期学习成果的检验,让学生能更好的定位自己的学习情况,为接下来的学习做好准备,需
铜仁市2021-2022学年度高三第二次模拟考试文科综合试题及答案
2022-03-15 15:47:26
铜仁市2021-2022学年度高三第二次模拟考试文科综合试题及答案小编已经收集整理好了,针对这一学期学习成果的检验,让学生能更好的定位自己的学习情况,为接下来的学习做好准备,需
2022届毕节市高三3月统考文科数学试题及答案
2022-03-15 13:50:12
2022届毕节市高三3月统考文科数学试题及答案小编已经收集整理好了,金太阳联考在很多地区都有,可能根据地区不同叫法不同让大家有点困惑,不过大家可以根据试卷上的编号来查看,感
铜仁市2021-2022学年度高三第二次模拟考试理科数学试题及答案
2022-03-15 09:56:33
铜仁市2021-2022学年度高三第二次模拟考试理科数学试题及答案小编已经收集整理好了,针对这一学期学习成果的检验,让学生能更好的定位自己的学习情况,为接下来的学习做好准备,需