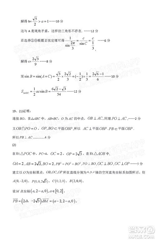
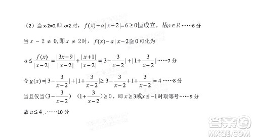
铜仁市2021-2022学年度高三第二次模拟考试理科数学试题及答案小编已经收集整理好了,针对这一学期学习成果的检验,让学生能更好的定位自己的学习情况,为接下来的学习做好准备,需要核对答案的伙伴可以来答案圈看!

本次考试的其他科目的答案小编也有收集整理,需要核对的伙伴可以在答案圈对应的年级搜索查看!










铜仁市2021-2022学年度高三第二次模拟考试语文试题及答案
2022-03-15 09:30:59
铜仁市2021-2022学年度高三第二次模拟考试语文试题及答案小编已经收集整理好了,针对这一学期学习成果的检验,让学生能更好的定位自己的学习情况,为接下来的学习做好准备,需要核
天一大联考2021-2022学年高中毕业班阶段性测试五理科数学试题及答案
2022-03-15 08:55:22
天一大联考2021-2022学年高中毕业班阶段性测试五理科数学试题及答案小编已经收集整理好了,针对这一学期学习成果的检验,让学生能更好的定位自己的学习情况,为接下来的学习做好
2022年3月齐齐哈尔一模高三理科数学试题及答案
2022-03-15 08:00:25
2022年3月齐齐哈尔一模高三理科数学试题及答案小编已经收集整理好了,由奉新一中、广信中学、平川中学、瑞昌一中、万安中学、南丰一中等六校联合考试,针对这一学期学习成果的
2022年江西省六校高三3月联考理科数学试题及答案
2022-03-14 16:18:25
2022年江西省六校高三3月联考理科数学试题及答案小编已经收集整理好了,由奉新一中、广信中学、平川中学、瑞昌一中、万安中学、南丰一中等六校联合考试,针对这一学期学习成果