小编这次手机整理的是浙江省的杭州高级中学高二期末考试的数学试卷练习题和解析,这个是由高二数学备课组命题的,是学校的自主命题练习,想要模拟训练的可以来做做看,适用于浙江地区的学子哦!

答案如下,仅供参考!







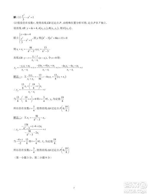
江苏南京2023-2024学年高二上学期期末考试数学模拟试卷答案
2024-02-07 14:42:41
小编这次收集整理的是江苏南京2023-2024学年高二上学期期末考试的数学模拟试卷答案,这个是江苏地区南京的高二模拟试卷,也适用于江浙地区其他学校的高二学子,想要练习的可以来
天一大联考2022-2023学年高二年级阶段性测试五数学试卷答案
2023-06-22 11:22:35
小编这次收集整理的是天一大联考2022-2023学年高二年级阶段性测试五的数学试卷答案,这个系列的试卷出题水平都是非常不错的,想要模拟练习的可以来看看,多做数学试卷对于提升自
广东汕尾2023年学科竞赛高二数学试题答案
2023-06-22 10:17:37
小编这次收集整理的是广东汕尾2023年学科竞赛的高二数学试题答案,这个是汕尾市的普通高中学科竞赛,主要还是面向高二学子的一个摸底排查,对于当前数学知识点的把握有一个了解,对
南京师范大学苏州实验学校2022-2023学年高二下学期期中考试数学试卷答案
2023-04-30 13:17:18
这次收集整理的是南京师范大学苏州实验学校2022-2023学年高二下学期期中考试的数学试卷答案,这个是今年4月份的高二考试,是苏州地区的,主要考试内容也是高一到高二下学期的知识