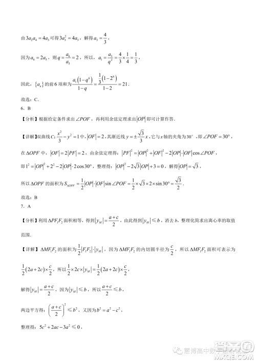
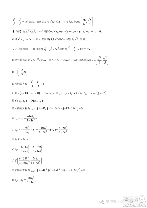
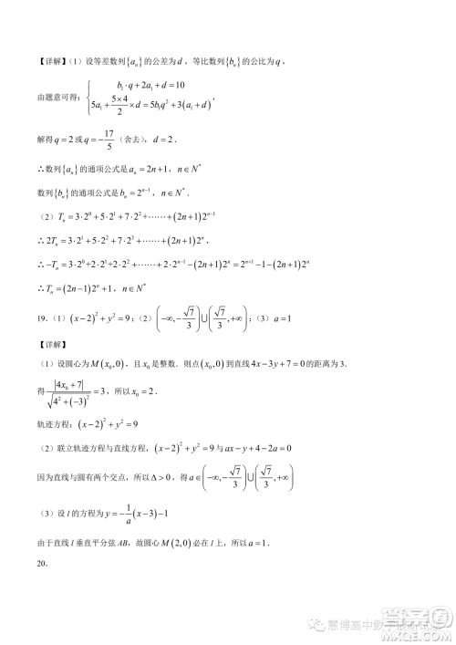
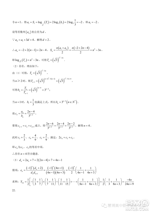
小编这次收集整理的是广东深圳中学2023-2024学年高二上学期期中的数学试题答案,这个是深圳中学的期中考试,也适用于广东省其他地区的,想要练习一下的可以来看看,检查一下自己做的对不对,大概可以得多少分吧!

答案如下,仅供参考!


















湖北部分高中联考协作体2023年高二上学期期中考试数学试题答案
2023-11-19 14:52:08
小编这次收集整理的是由天门市岳口高级中学和阳新县高级中学命题审题的湖北部分高中联考协作体2023年高二上学期期中考试的数学试题和答案,这个是由2023年11月17日上午考的试
安徽皖豫名校联盟2023-2024学年高二上期中考试数学试卷答案
2023-11-19 11:19:24
小编这次收集整理的是安徽皖豫名校联盟2023-2024学年高二上期中考试的数学试卷答案,这个是安徽地区的高二联考也是期中考试,其他地区的也可以来练习一下,出题的难度还是比较适
环际大联考逐梦计划2023-2024学年高二上学期期中考试数学试题答案
2023-11-17 09:22:50
小编这次收集整理的是环际大联考逐梦计划2023-2024学年高二上学期期中考试的数学试题答案,这个试卷总分是150分,考试时间120分钟,这个系列的还是非常不错的,想要练习的可以来看
杭州北斗联盟2023-2024学年高二上学期期中联考数学试题答案
2023-11-16 14:49:21
小编这次收集整理的是杭州北斗联盟2023-2024学年高二上学期期中联考的数学试题答案,这个是由淳安二中和北师大嘉兴附中命题的,适用于浙江地区学子使用,匹配高中教材进度,想要练