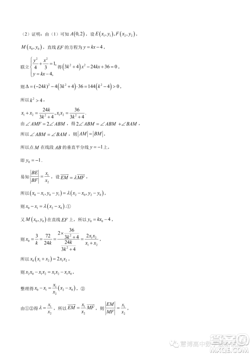
小编这次收集整理的是安徽皖中联考2023-2024学年高二上学期期中质检的数学试题答案,这个是高二的联考,还有高三的联考站内也在陆续收集整理,有需要的可以选择高三年级查看,这些都非常适合安徽地区学子练习哦!

答案如下,仅供参考!





















广东深圳联盟校2023-2024学年高一上学期期中考试数学试题答案
2023-11-15 09:58:07
小编这次收集整理的是广东深圳联盟校2的023-2024学年高一上学期期中考试的数学试题答案,这个适用于广东地区的学子使用,练习一下数学试题,如果想挑战其他地区的难度的可以站内
辽宁省部分高中2023-2024学年度上学期期中考试高二数学试题答案
2023-11-15 09:43:47
小编这次收集整理的是辽宁省部分高中2023-2024学年度上学期期中考试的高二数学试题答案,命题人盘锦高中、审题人本溪高中,考试时间120分钟,满分150分,想要练习的可以来看看,检查
2023年秋季鄂东南省级示范高中教育教学改革联盟高二期中联考数学试题答案
2023-11-15 09:18:19
小编这次收集整理的是2023年秋季鄂东南省级示范高中教育教学改革联盟高二期中联考的数学试题答案,考试时间2023年11月13日下午三点到五点,命题学校阳新一中,审题学校浠水一中,感
天壹五市十校教研教改共同体2023年高二期中联考数学试题答案
2023-11-14 17:52:58
小编这次收集整理的是天壹五市十校教研教改共同体2023年高二期中联考的数学试题答案,命题学校雷锋学校、宁乡一中、南方中学、东山学校,这次的联考是湖南省的五市联考,想要模拟