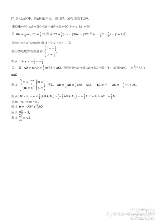
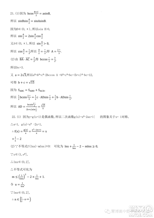
小编这次收集整理的是2023年浙江东阳外国语学校高二下学期8月月考的数学试题答案,这个是浙江省的准高二八月份考试,想要模拟练习的可以来看看,提前训练一下自己的数学知识掌握情况吧!

答案如下,仅供参考!
















2023年第二十届中国东南地区数学奥林匹克高一第二天试题答案
2023-08-02 10:34:16
小编这次收集整理的是2023年第二十届中国东南地区数学奥林匹克的高一第二天试题答案,这个系列的还有其他年级的,比如高一,主要是浙江温州地区的奥数模拟考试,想要练习的可以做完
2023年第二十届中国东南地区数学奥林匹克高二年级组第一天试题答案
2023-08-02 09:51:29
小编这次收集整理的是2023年第二十届中国东南地区数学奥林匹克的高二年级组第一天试题答案,这个是浙江温州地区的七月三十号的考试,想要模拟练习的可以来看看,高一年级的也有,站
双鸭山市第一中学2022-2023学年高二下学期期末考试生物试卷答案
2023-07-31 16:26:55
小编这次收集整理的是双鸭山市第一中学2022-2023学年高二下学期期末考试的生物试卷答案,这个系列的还有其他学科的,站内直接搜双鸭山就可以搜到了,感兴趣的可以来看看哦,检查一
双鸭山市第一中学2022-2023学年高二下学期期末考试数学试卷答案
2023-07-31 15:44:06
小编这次收集整理的是双鸭山市第一中学2022-2023学年高二下学期期末考试的数学试卷答案,时间120分钟,总分150分,这个系列的试卷也有整合其他学科的,站内直接搜双鸭山市就可以搜