小编这次收集整理的是2023年广州执信中学高二下学期期末的数学试题答案,本试卷分选择题和非选择题两部分,共5页,满分150分,考试用时120分钟,感兴趣的可以来看看哦,检查一下自己做的对不对吧!

答案如下,仅供参考!






















潮州市2022-2023学年度第二学期期末高二教学质量检测卷数学试题答案
2023-07-24 10:43:37
小编这次收集整理的是潮州市2022-2023学年度第二学期期末高二教学质量检测卷的数学试题答案,这个系列的试卷还有很多,都是收集的关于期末考试测评的试卷,也是对高二阶段复习的
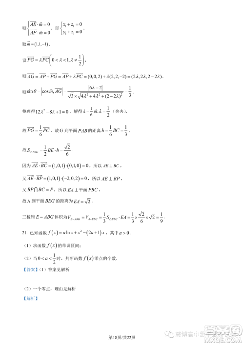
2023年重庆八中高二下学期期末数学试题答案
2023-07-24 10:17:30
小编这次收集整理的是重庆八中2022-2023学年度下期末考试高二年级数学试题的答案,感兴趣的可以来看看,多个地区的高二下学期试题试卷都有整合,希望可以帮助大家在假期阶段提升
吉林BEST合作体2022-2023学年高二下学期期末联考数学试题答案
2023-07-23 13:38:10
小编这次收集整理的是吉林BEST合作体2022-2023学年高二下学期期末联考的数学试题答案,本试卷满分150分,共5页,考试时间为120分钟,考试结束后,只需要交答题卡哦,这个系列的还有高一
高2024届高考诊断考试一数学试题答案
2023-07-21 10:31:29
小编这次收集整理的是高2024届高考诊断考试一的数学试题答案,这个系列的试卷还是非常不错的,想要模拟练习的可以来看看,诊断一下自己当前的学习进度和知识掌握情况,其他类型的也