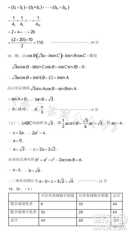
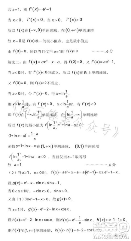
小编这次收集整理的是贵州省三新改革联盟校2023年7月联考试卷的高二数学答案,这个试卷满分150分,考试时间120分钟,其他学科的也有收集整理,站内直接搜三新改革联盟就可以了!

答案如下,仅供参考!











福建宁德2022-2023学年高二下学期7月期末数学试题答案
2023-07-21 08:42:54
小编这次收集整理的是福建宁德市2022-2023学年度第二学期期末高二质量监测数学试题的答案,前面是试卷,后面是答案,想要模拟练习的可以来看看,检查一下自己做的对不对吧!福建宁德2
辽宁省重点高中沈阳市郊联体2022-2023学年度下学期高二年级期末考试历史答案
2023-07-19 17:15:00
小编这次收集整理的是辽宁省重点高中沈阳市郊联体2022-2023学年度下学期高二年级期末考试的历史答案,其他学科的也有收集整理,站内搜沈阳市郊联体就可以了,这些是一套试卷系列,
辽宁省重点高中沈阳市郊联体2022-2023学年度下学期高二年级期末考试物理答案
2023-07-19 16:48:43
小编这次收集整理的是辽宁省重点高中沈阳市郊联体2022-2023学年度下学期高二年级期末考试的物理答案,考试时间75分钟,试卷满分100分,本试卷由选择题和非选择题两部分组成,其他学
辽宁省重点高中沈阳市郊联体2022-2023学年度下学期高二年级期末考试数学答案
2023-07-19 16:24:07
小编这次收集整理的是辽宁省重点高中沈阳市郊联体2022-2023学年度下学期高二年级期末考试的数学答案,这个是由沈阳市三十中学命题,沈阳市八十三中学校题,其他学科的也有整理,直