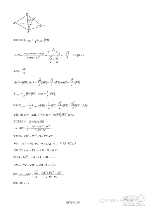
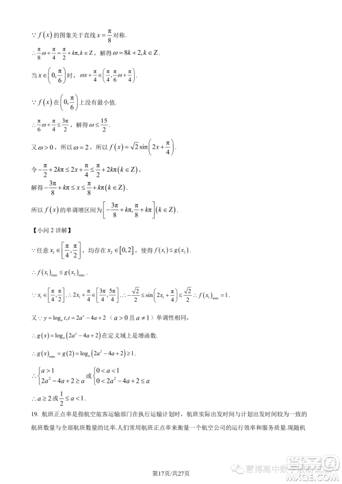
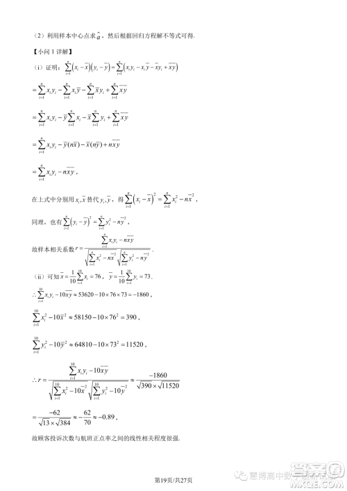
小编这次收集整理的是宁波九校联考2022-2023学年高二下学期期末的数学试题答案,这份是试题详解,解析还是很齐全的,得分点也有,有需要的可以来看看,估分一下,看看还有哪些知识点没有掌握吧!

答案如下,仅供参考!


























福州八中2022-2023学年高二下学期期末考试数学试卷答案
2023-06-28 18:09:06
小编这次收集整理的是福州八中2022-2023学年高二下学期期末考试的数学试卷答案,想要模拟练习的可以来看看,其他地区的站内也有整合,搜地区或者学校就可以搜到,没有搜到的就是暂
浙江杭州市2022-2023学年高二下学期期末数学试题答案
2023-06-28 17:46:53
小编这次收集整理的是浙江杭州市2022-2023学年高二下学期期末的数学试题答案,这个是杭州市的高二期末检测,也是和江浙地区其他高二学子使用,想要练习的可以来看看哦!浙江杭州市2
2024届高二学情调研试卷数学试题答案
2023-06-27 11:42:51
小编这次收集整理的是2024届高二学情调研试卷的数学试题答案,本试卷主要考试内容为高考全部内容,感兴趣的可以来看看,其他系列有需要的可以站内搜搜看,希望可以帮助到大家!2024届
扬州2023高二下学期六月期末考试数学答案
2023-06-27 10:59:36
小编这次收集整理的扬州2023高二下学期六月期末考试的数学答案,这个是六月的考试,扬州地区的高二数学统考,感兴趣的可以来看看,其他地区的也可以做做练习,了解一下自己当前的基础