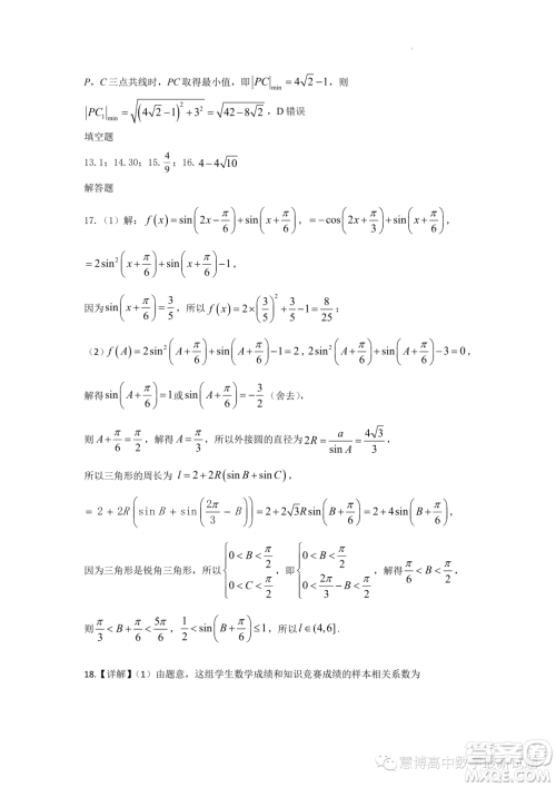
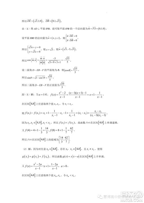
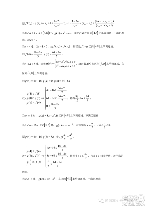
小编这次收集整理的是浙江宁波奉化区九校联考2022-2023学年高二下学期期末模拟练习的数学试题答案,前面是试题后面是详细解析和得分点,在做完了之后可以来看看,检查一下自己做的对不对吧!

答案如下,仅供参考!













辽宁名校联盟2022-2023学年高二下学期6月份联合考试数学试题答案
2023-06-16 16:50:10
小编这次收集整理的是辽宁名校联盟2022-2023学年高二下学期6月份联合考试的数学试题答案,这个系列的试卷还是非常不错的,名校联盟之前也有整合过高一的数学考试,这次的是高二的
大庆铁人中学2022-2023学年高二下学期期中考试语文试题答案
2023-06-13 18:06:25
小编这次收集整理的是大庆铁人中学2022-2023学年高二下学期期中考试的语文试题答案,前面是试题后面是答案,其他学科的也有整理,站内直接搜大庆中学就可以搜到了,这个系列的还是
大庆铁人中学2022-2023学年高二下学期期中考试英语试题答案
2023-06-13 17:44:29
小编这次收集整理的是大庆铁人中学2023年高二下学期期中考试的英语试卷答案,这个是东北地区的,也是整合的关于高二的考试,想要练习一下的可以来看看哦,其他学科的会陆续收集整理
珠海广东实验中学金湾学校2022-2023年高二下学期6月月考数学试卷答案
2023-06-12 10:24:07
小编这次收集整理的是珠海广东实验中学金湾学校2022-2023年高二下学期6月月考的数学试卷答案,这个是整合的六月份的珠海地区的学校的高二试卷,想要模拟练习的可以来看看,其他地