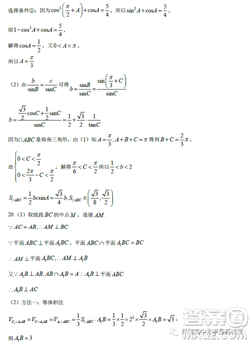
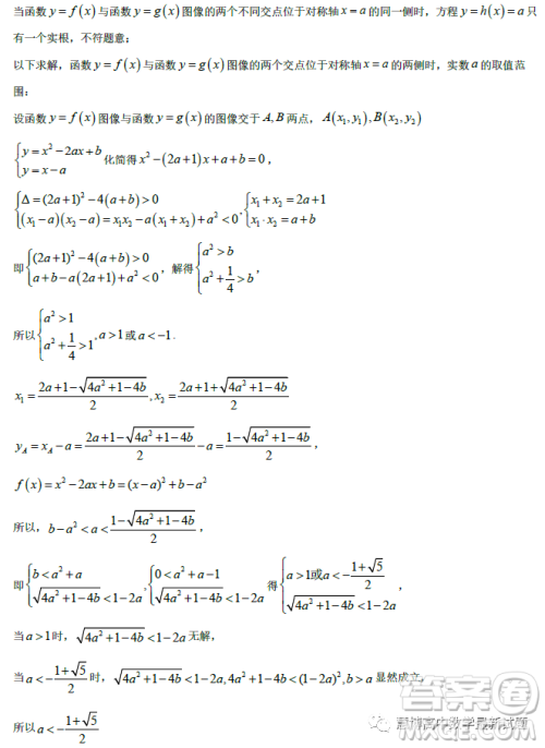
小编这次收集整理的是浙江省温州十校联合体2022-2023学年高二下学期期中联考的数学试题答案,这个是温州地区的其中联考,数学试卷出题的范围也是高一到高二的学习范围,想要进行模拟练习的可以来看看哦!

答案如下,仅供参考!














黑龙江大庆中学2022-2023学年高二下学期4月月考数学试题答案
2023-04-18 08:51:37
小编这次收集整理的是黑龙江大庆中学2022-2023学年高二下学期4月月考的数学试题答案,本试卷分选择题和非选择题两部分,满分150分,考试时间120分钟,感兴趣的可以来看看哦!黑龙江大
深圳宝安第一外国语学校2023高二下学期期中考试数学试卷答案
2023-04-14 16:54:24
小编这次收集整理的是深圳宝安第一外国语学校2023高二下学期的期中考试数学试卷答案,这个是2023年4月的考试,还是非常不错的,针对高二下学期的2-4月的学习情况进行一个摸底排查
福建泉州九中2022-2023学年高二下学期数学月考巩固卷答案
2023-04-06 10:38:57
小编这次收集整理的是福建泉州九中2022-2023学年高二下学期的数学月考巩固卷答案,这个是四月的月考考试试卷模拟,感兴趣的可以来看看,主要也是对当前学期的学习进度的一个考察,
河南郑州十校联考2022-2023学年高二下学期期中数学试题答案
2023-04-04 14:29:24
小编这次收集整理的是河南郑州十校联考的2022-2023学年高二下学期期中数学试题答案,这个是郑州市第二高级中学出题的数学试卷,试卷难度也还不错,感兴趣的可以来看看哦!河南郑州