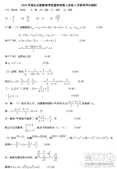
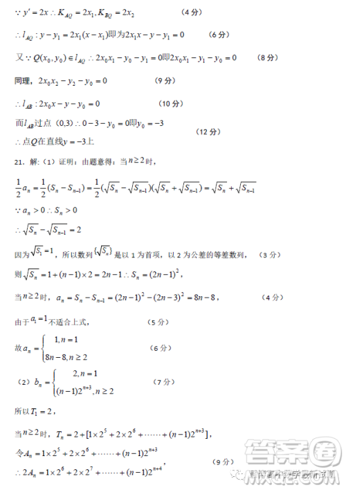
小编这次收集整理的是2023年湖北云新数高考联盟学校高二年级3月联考的数学试卷答案,这个系列的是3月10日开搞的,高二联考数学试卷,命题学校是咸宁高中,感兴趣的可以来看看哦!

答案如下,仅供参考!








2023年2月高二下学期开学考检测模拟试卷数学试题答案
2023-01-30 17:56:42
小编这次收集整理的是2023年2月高二下学期开学考检测模拟试卷的数学试题答案,时间120分钟,分值150分,范围选择性必修一和选择性必修二第一章,注意模拟考试的范围哦!2023年2月高二
2023年1月交大附中高二期末考试数学试卷答案
2023-01-19 09:32:54
小编这次收集整理的是上海交大附中的高二期末数学试卷和参考答案,这个是上海地区的期末考试,想要来模拟测试的可以来看看,大多是填空题和选择题,只有答案,解析过程还是要自己来思
武汉外国语学校2022-2023学年度上学期期末考试高二英语试卷答案
2023-01-18 16:31:38
小编这次收集整理的是武汉外国语学校2022-2023学年度上学期期末考试的高二英语试卷答案,这个是武汉外国语学校的高二英语考试,还有其他学科的其他学校的,都可以来做练习,站内直
华中师大一附中2022-2023学年度上学期高二期末检测英语试题答案
2023-01-18 16:20:03
小编这次收集整理的是华中师大一附中2022-2023学年度上学期高二期末检测的英语试题答案,有题目和参考答案,方便学子在做完了之后自我核对打分,本次试卷的命题人是高二英语备课