首页小学初中高中专题
当前位置:首页 > 大学答案网 > 大学教材答案

第39届全国部分地区大学生物理竞赛试题参考答案

时间:2023-12-04 17:39:10    作者:答案圈
标签:

在大学阶段,除了学校的课程,学生们的自由时间很多,一些含金量高的竞赛可以参与进去,这也是为后续的就业增加筹码。今天分享第39届全国部分地区大学生物理竞赛试题参考答案,感兴趣的看过来。K4E答案圈

第39届全国部分地区大学生物理竞赛试题参考答案K4E答案圈

第39届全国部分地区大学生物理竞赛试题参考答案

答案如下:K4E答案圈

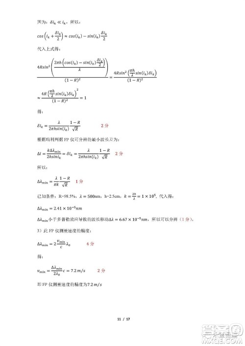
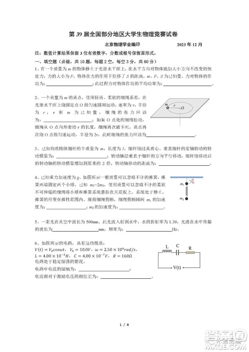
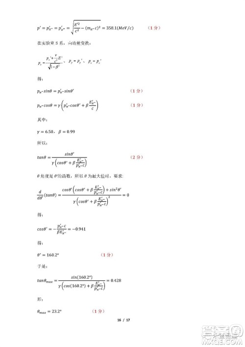
第39届全国部分地区大学生物理竞赛试题参考答案K4E答案圈

第39届全国部分地区大学生物理竞赛试题参考答案K4E答案圈

第39届全国部分地区大学生物理竞赛试题参考答案K4E答案圈

第39届全国部分地区大学生物理竞赛试题参考答案K4E答案圈

第39届全国部分地区大学生物理竞赛试题参考答案K4E答案圈

第39届全国部分地区大学生物理竞赛试题参考答案K4E答案圈

第39届全国部分地区大学生物理竞赛试题参考答案K4E答案圈

第39届全国部分地区大学生物理竞赛试题参考答案K4E答案圈

第39届全国部分地区大学生物理竞赛试题参考答案K4E答案圈

第39届全国部分地区大学生物理竞赛试题参考答案K4E答案圈

第39届全国部分地区大学生物理竞赛试题参考答案K4E答案圈

第39届全国部分地区大学生物理竞赛试题参考答案K4E答案圈

第39届全国部分地区大学生物理竞赛试题参考答案K4E答案圈

第39届全国部分地区大学生物理竞赛试题参考答案K4E答案圈

第39届全国部分地区大学生物理竞赛试题参考答案K4E答案圈

第39届全国部分地区大学生物理竞赛试题参考答案K4E答案圈

第39届全国部分地区大学生物理竞赛试题参考答案K4E答案圈

第39届全国部分地区大学生物理竞赛试题参考答案K4E答案圈

第39届全国部分地区大学生物理竞赛试题参考答案K4E答案圈

第39届全国部分地区大学生物理竞赛试题参考答案K4E答案圈

查看更多答案
相关文章
专题推荐

2023年秋启东中学作业本上册系列答案

2023年秋实验班提优大考卷上册系列答案

2023年秋亮点给力大试卷上册系列答案

2023年秋智慧学习天天向上课堂作业上册系列答案

相关专题
课后作业答案
网友留言
最新更新
第39届全国部分地区大学生物理竞赛试题参考答案
青年大学习2023年第1-20期题目参考答案 青年大学习2023年前20期答案汇总
青年大学习答案
青年大学习2023年第20期学习心得体会
心得体会
涉过愤怒的海电影观后感500字 关于涉过愤怒的海的电影观后感500字
观后感