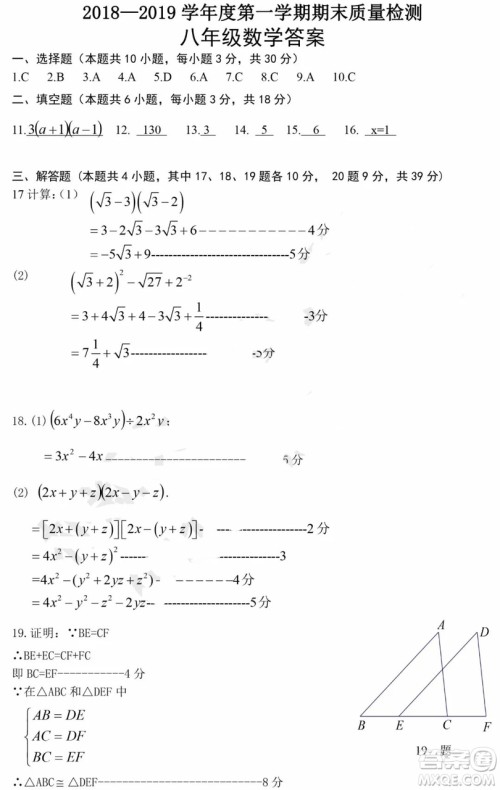
大连中山区八年级上学期的期末考试数学答案小编已经收集整理好了,在做完之后可以来答案圈核对一下,看看自己的答案是否正确!

大连中山区八年级第一学期期末质量监测数学答案如下,其他年级其他区的小编也有收集,直接在答案圈内搜大连+区名即可,比如大连中山。

第一,力求工整,字写漂亮,做问答题时注意布局,尽量不要手绘图,无论是作业还是卷子,整洁到老师都不忍心扣你分的程度。哪怕是草稿纸,也能看出你很认真。
第二,记笔记,有助于你梳理条理,加深印象。记笔记时至少有两种颜色的笔,以便于重点突出。
第三,要有错题本,做错的题要重新做到错题本上,循环复习巩固。
第四,独立完成作业,不要查电脑或者请教同学,如果不能独立完成,让父母打你的屁股,因为你上课没好好听,所以不会做作业。
第五,要有计划,当天作业花多久完成要提前定下来,实际与计划差太远,做不到就自己做俯卧撑,慢慢的你的计划与实际就一致了。
第六,要会讲,可以向家长复述当天学过的知识,向家长和同学讲题,会讲题比会做题厉害,如果会讲题,你不是和老师一样了。
第七,举一反三,对于一些典型题目,尝试自己改动一些条件出题。
第八,求精不求量,不要瞎买资料做,不要乱报辅导班,跟着学校一个节奏就够了,贪多嚼不烂,反为其害。
综上,学好数学需要大量的时间和精力投入,需要严谨的精神,笨人学不好数学,小聪明学不好数学,听老师的话就能学好。
大连中山区2018-2019学年度七年级第一学期期末质量监测数学答案
2019-01-11 09:55:40
大连中山区今年的期末考试答案已经出来了,小编这次收集整理的是数学的答案,快来一起看看吧,你做对了多少呢?大连中山区2018-2019学年度七年级第一学期期末质量监测数学答案大连
大连沙河口区2018-2019学年度九年级第一学期期末质量监测数学参考答案
2019-01-11 09:32:57
大连沙河口区的2018年九年级上学期期末考试数学的答案小编已经收集整理好了,答案如下,其他年级的也有,可以直接搜大连沙河口即可搜到了,还是非常方便的!大连沙河口区2018-2019学
大连沙河口区2018-2019学年度七年级第一学期期末质量监测数学答案
2019-01-11 09:25:21
小编这次收集整理的是大连沙河口区2018年七年级上学期的期末考试数学的答案,其他年级的可以直接在答案圈内搜大连沙河口区即可搜到了。大连沙河口区2018-2019学年度七年级第
大连沙河口区2018-2019学年度八年级第一学期期末质量监测数学参考答案
2019-01-11 08:54:07
大连沙河口区的2018-2019学年度八年级第一学期期末质量监测的数学答案如下,其他大连的地区的期末试卷答案可以直接搜大连+区名即可哦大连沙河口区2018-2019学年度八年级第一
2019初中上学期期末考试答案