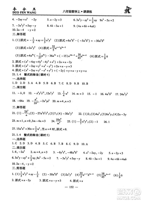
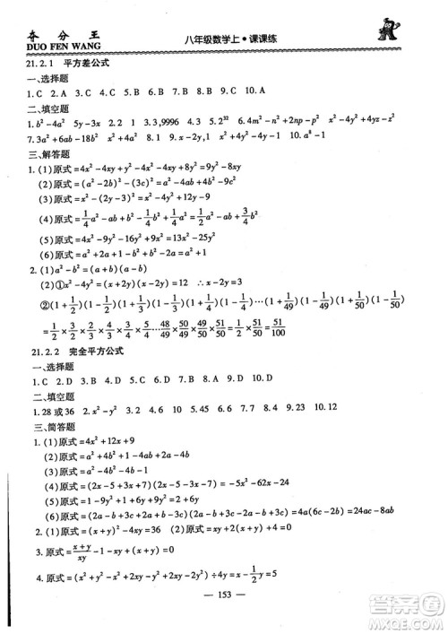
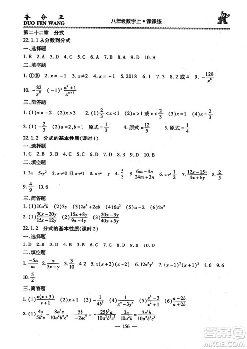
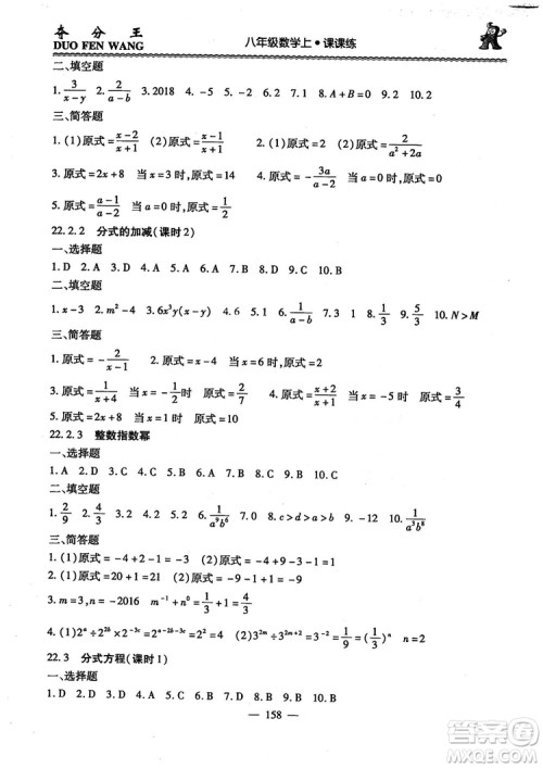
2018年夺分王新课标同步学案数学8年级上册升级版2.0答案,小编收集完整了,请及时查看

本书是光明日报出版社出版的,答案收集的很详细完整,学生在做完练习之后可以及时查看,分析一下做题情况,及时做好查漏补缺。






























第一、和孩子一起分析原因,找到原因。应该让孩子明白,学习是自己的事情,刻苦努力,考试升学上好高中才是自己最好的出路。和孩子好好的沟通一次,初二的孩子,该是懂事了。千万不要娇生惯养孩子,可以适当的让孩子做点体力活。
第二、上课一定要认真听课,数学知识点都是一环扣一环的,一个点没有理解透彻,就会造成脱节,然后自己遇见难题,又不去解决和总结。问题就日积月累,越来越多。后面干脆听课都听不懂了。就干脆不听。成绩越来越差,上学就越来越痛苦。
第三、从现在开始,八年级下册,新课内容一定要做到课前预习。预习不是随便翻一下书。预习,就要把教材彻底看懂,这一节内容讲了什么?是怎么引入的?和哪些地方有关联?公式是怎么推导的?定理是怎么证明的?例题看懂,多思考,后面的习题要主动全部做会。
第四、跟上学校学习进度的前提下,必须把前面的内容尽快的补上来。一个星期内,必须把七上解决。一个星期内,精读七下数学教材。再给你两个星期,精读八上的数学教材。
2018版金牌一课一练数学试用本8年级第一学期参考答案
2018-10-30 10:20:07
2018版金牌一课一练数学试用本8年级第一学期参考答案,小编收集在答案圈了,喜欢的学生请及时查看2018版金牌一课一练数学试用本8年级第一学期参考答案本书是中西书局原上海百家
2018版金牌一课一练数学试用本九年级第一学期参考答案
2018-10-30 10:08:31
2018版金牌一课一练数学试用本九年级第一学期参考答案,收集在答案圈了,需要参考的学生可以看过来了2018版金牌一课一练数学试用本九年级第一学期参考答案本书是中西书局原上海
2018新版金牌一课一练英语N版试用本高三年级第一学期参考答案
2018-10-30 09:57:54
2018新版金牌一课一练英语N版试用本高三年级第一学期参考答案,小编收集在答案圈了,喜欢的学生可以及时做好答案的检查2018新版金牌一课一练英语N版试用本高三年级第一学期参考
我能考第一金牌一课一练2018版物理试用本八年级第一学期参考答案
2018-10-30 09:43:17
小编收录了最新的我能考第一金牌一课一练2018版物理试用本八年级第一学期参考答案,感兴趣的学生请随意查看我能考第一金牌一课一练2018版物理试用本八年级第一学期参考答案本