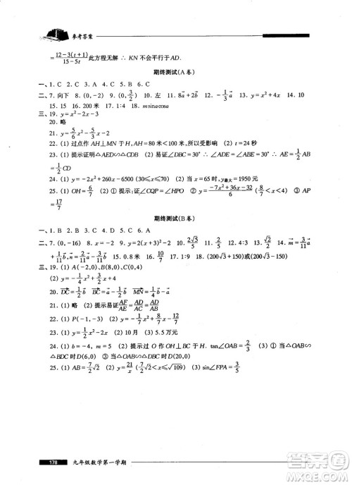
2018版金牌一课一练数学试用本九年级第一学期参考答案,收集在答案圈了,需要参考的学生可以看过来了

本书是中西书局原上海百家出版社出版的,是由赵军主编的,答案还是很详细的,只要认真查看仔细检查,总会有效果的。
















一、心理方面,中考是学习阶段第一个真正意义上的分水岭,高中职教是两个完全不一样的学习方向,考试的时候非常正规,加上天气原因,部分同学可能会紧张导致成绩下降。这就要求学生以平常心去面对考试,做到心如止水,处变不惊,这方面离不开家长的鼓励。
二、临场发挥,这就看学生平时的积累了,看到什么类型的题用什么方法,简便快速准确的答题,中考数学题量,难度都不小,像选择题尽量的判断出答案,填空题注意答案的完整度,计算题算好后回头快速的看一遍保证做对,几何证明题步骤要完整…这些都要看平时的经验了。
三、遇到不会的怎么办,把这类题目尽量留到最后扫尾阶段,小题可以试答案,像几何体可以量出结果!大题的话需要步骤,按照上课老师讲的尽量写几步,好多题的结论就像我们平时看到的那样,都有特殊性,比如谁是谁的2倍,3倍,谁加谁等于另外的线段。尽量的不要空着。
2018新版金牌一课一练英语N版试用本高三年级第一学期参考答案
2018-10-30 09:57:54
2018新版金牌一课一练英语N版试用本高三年级第一学期参考答案,小编收集在答案圈了,喜欢的学生可以及时做好答案的检查2018新版金牌一课一练英语N版试用本高三年级第一学期参考
我能考第一金牌一课一练2018版物理试用本八年级第一学期参考答案
2018-10-30 09:43:17
小编收录了最新的我能考第一金牌一课一练2018版物理试用本八年级第一学期参考答案,感兴趣的学生请随意查看我能考第一金牌一课一练2018版物理试用本八年级第一学期参考答案本
我能考第一2018版金牌一课一练物理试用本九年级第一学期参考答案
2018-10-30 09:26:00
我能考第一2018版金牌一课一练物理试用本九年级第一学期参考答案已经收集在答案圈了,喜欢的学生快来看看吧我能考第一2018版金牌一课一练物理试用本九年级第一学期参考答案本
2018版金牌一课一练物理试用本高一年级第一学期参考答案
2018-10-30 09:14:44
2018版金牌一课一练物理试用本高一年级第一学期参考答案,小编收集在答案圈了,喜欢的学生快看吧2018版金牌一课一练物理试用本高一年级第一学期参考答案本书是上海百家出版社出
我能考第一金牌一课一练系列答案